Синфазные и квадратурные составляющие.
В радиотехнических задачах важную роль играет особый класс случайных процессов, спектральная плотность мощности которых имеет частоты
, отличают от нуля. Функция корреляции узкополосного случайного процесса по теореме Винера – Хинчина

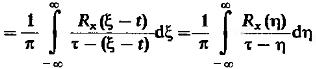
(1) заменим переменную
, тогда
(2) заменим -
на
тогда:
(3)
(4) – чётная функция
– нечётная функция.
Удобно ввести нормированную огибающую S (
) функции корреляции узкополосного случайного процесса определив её
тогда
(5)
Из 5 следует, что отдельные реализации узкополосного случайного процесса могут представлять квазигармонические колебания:
(6)
У которой огибающая U(t) и начальная фаза
(t). Представим 6 как сумму синфазной и квадратурной составляющей:
(7)
Введём случайный процесс Y(t), сопряжённой с исходными процессами X(
). Его реализацией являются преобразования Гильберта.
(8)
Из 7 и 8 можно получить:
(9)
От туда для мгновенных значений огибающей
(10) и начальной фазы:
(11)
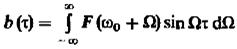
Статические свойства сопряженного процесса.
Если
то и
так же равно нулю, пусть X(t) гауссов процесс, а преобразование Гильберта, то Y(t) – тоже гауссов процесс. Если
спектральная плотность реализации x(t), то
(12).
Модули спектральной плотности совпадают т.е.
отсюда:
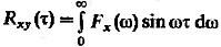
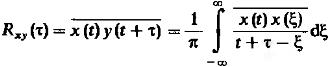
(13) и процесс Y(t) – стационарен. Функцию взаимной корреляции можно определить:
(14) – это нечто иное как преобразование Гильберта от X(t).
(15)
(16)
2.Корреляцтонные свойства синфазной и квадратурной амплитуд.
Пусть A(t) и B(t) – выражаются следующим образом:
(17)
Определим корреляцию процесса A.
(18).
С учётом 2 и 16, 18 можно выразить
(19).
Аналогично
(20) и
(21). Если
то
(22).
Дата добавления: 2015-08-14; просмотров: 1715;
