Понятия денежной базы и ее составляющие. Статистический анализ оборачиваемости денежной массы
Одним из важных компонентов денежной массы является денежная база.
| Денежная база |
| - это |
| объем наличных денег, первоначально поступивших в банковскую систему. |
Различают денежную базу в узком и широком смысле в практике денежная база обычно представлена в широком смысле и включает следующие составляющие.
| Составляющие денежной базы |
| Наличные деньги, выпущенные Центральным банком Российской Федерации. |
| Денежные средства в кассах банков. |
| Обязательные резервы коммерческих банков в Центральном банке Российской Федерации. |
| Средства коммерческих банков на корреспондентских счетах в Центральном банке Российской Федерации. |
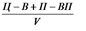
определяет количество денег, необходимых для обращения (M):
M= ,
или
М= ,
где Ц – стоимость реализованных товаров и предоставленных услуг;
В – стоимость товаров, проданных в кредит;
П – наступившие платежи;
ВП – взаимопогашаемые обязательства;
V – скорость обращения денег;
q – количество реализуемых товаров;
p – средняя цена товаров.
Из формулы можно получить уравнение обмена:
MV= .
Произведение количества денег в обращении на скорость обращения равно произведению товарной массы на уровень цен.
|
| Закон денежного обращения |
Когда равенство нарушается, происходит обесценивание денег, проявляющееся в росте цен на товары и услуги (инфляция). Вследствие переполнения каналов денежного обращения возникает избыточная денежная масса при отсутствии адекватного увеличения товарной массы.
Для характеристики состояния денежного обращения и уровня инфляции в экономике рассчитывают уровень монетизации и индекс покупательской способности денег (рубля).
Таблица 26
Дата добавления: 2015-08-11; просмотров: 859;

,
или
М=
,
где Ц – стоимость реализованных товаров и предоставленных услуг;
В – стоимость товаров, проданных в кредит;
П – наступившие платежи;
ВП – взаимопогашаемые обязательства;
V – скорость обращения денег;
q – количество реализуемых товаров;
p – средняя цена товаров.
Из формулы можно получить уравнение обмена:
MV=
.
Произведение количества денег в обращении на скорость обращения равно произведению товарной массы на уровень цен.