Контактная разность потенциалов в замкнутой цепи металлических проводников, имеющих одинаковую температуру, равна нулю.
Термоэлектрические явления
К важнейшим термоэлектрическим явлениям относятся термоэлектрический эффект (явление Зеебека) и эффект Пельтье. Рассмотрим их.
Термоэлектрический эффект был обнаружен в 1821 году немецким физиком Зеебеком. Рассмотрим замкнутую цепь, составленную из двух разнородных металлических проводников, находящихся в тесном контакте (рис. 5). Температуры контактов (спаев) а и b будем поддерживать различными (Та > Тb). При этом в цепи возникает разность потенциалов, а следовательно, электрический ток.
Термоэлектрический эффект заключается в возникновении электродвижущей силы в замкнутой электрической цепи, составленной из последовательно соединенных разнородных проводников, если места их контакта поддерживаются при разных температурах.
Получающуюся ЭДС назвали термоЭДС, а соответствующий ток в цепи — термотоком.
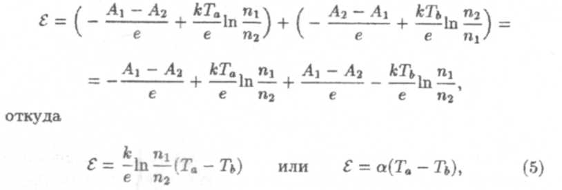
Получим выражение для термоЭДС. Так как Тa > Ть, то Ua > Ub (см. формулу (4)). Известно, что ЭДС равна сумме падений напряжений в цепи; тогда ε = Ua + Ub, используем формулу (4)

где коэффициент а = (к/е)lп(n1/ n2) является практически постоянной величиной для данной пары металлов (если пренебречь зависимостью концентраций от температуры).
Замкнутая цепь проводников, создающая ток за счет различия температуры контактов между проводниками, называется термопарой. Термопары обычно изготовляютиз двух проволок, концы которых сварены или спаяны между собой (рис. 6). В цепь включают также электроизмерительный прибор, чаще всего — гальванометр.
Из формулы (5) видно, что термоЭДС прямо пропорциональна разности температур между спаями термопары. Однако эта зависимость соблюдается далеко не всегда и не во всем интервале температур. Поэтому для практических целей подбирают такую пару металлов термопары, чтобы в нужном интервале температур зависимость ε от ∆T была прямопропорциональной.
Возможно применение термопар в качестве источников тока, однако, металлические термопары дают малые значения термоЭДС (несколько милливольт на 100 К), к.п.д. их составляет около 0,1%. Для получения источников тока практичнее полупроводниковые термопары. А металлические термопары чаще всего используют для измерения температуры. Особенно удобны термоэлектрические термометры для измерения очень высоких и низких температур и для измерения температуры в местах, недоступных для обычного измерения.
Эффект Пельтье был открыт в 1834 г. Он заключается в том, что при протекании тока через замкнутую цепь, составленную из

разнородных металлов (рис. 7), в одном спае происходит выделение тепла, а в другом — его поглощение. Таким образом, явление Пельтье обратно термоэлектрическому эффекту. Из опыта установлено, что количество теплоты пропорционально силе тока и времени прохождения тока через спаи

где П12 — коэффициент Пельтье. На одном спае коэффициент П12 положителен, там тепло выделяется (П12 > 0, Q > 0), а на другом П21 < 0, Q < 0 — тепло поглощается.
Явление Пельтье может быть использовано для создания электрохолодильных устройств.
Лекция № 26
Дата добавления: 2015-08-11; просмотров: 1651;
