По перемещению пробного заряда
Если источником электрического поля является положительный неподвижный заряд q0, то электростатическая сила, действующая на пробный точечный заряд q, убывает пропорционально
квадрату расстояния между ними:
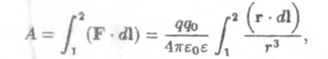
Пусть пробный заряд q перемещается из одного положения (точка 1) в другое (точка 2) по произвольному пути, причем его расстояние от заряда изменяется от r1 до r2 (рис. 1).
Работа, совершаемая силой Кулона:
где dl — вектор бесконечно малого перемещения. Она равна
Обратите внимание, что формула (1), дающая величину работы поля точечного заряда по перемещению пробного заряда, указывает на тот факт, что эта величина не зависит от выбранного пути, а только лишь от положения начальной и конечной точек траектории движения. Следовательно, сила Кулона — консервативная сила, что позволяет для электростатических полей использовать понятие потенциальной энергии.
Сила, действующая на данный заряд со стороны любого распределения зарядов, может быть записана в виде геометрической суммы кулоновских сил. Следовательно, и сила, создаваемая произвольным распределением зарядов — консервативная. Это позволяет ввести понятие потенциала электростатического поля.
Разность потенциальных энергий точечного заряда в двух различных точках электростатического поля можно определить как работу, совершаемую внешними силами по перемещению заряда q против действия электрической силы из одной точки в другую. Это определение будет равносильно определению изменения потенциальной энергии заряда в электростатическом поле как взятой с обратным знаком работы, совершаемой самим полем по перемещению заряда из одной точки в другую.
Следовательно, работу А сил поля из (1) можно представить как разность потенциальных энергий, которыми обладает точечный заряд q в точках 1 и 2 поля заряда q0:
где W1 и W2 — потенциальная энергия в точках 1 и 2 соответственно.
Сравнивая формулы (2) и (1), заключаем, что на любом расстоянии г от положительного точечного заряда q0 электрическую потенциальную энергию можно записать в виде:
где С — произвольная постоянная. Обычно выбирают С = 0, и тогда:
При таком выборе С имеем W = 0 при r = ∞.
Замечание о выборе знака W(r) в формуле (3). Принимается, что W(r) > 0, если действуют силы отталкивания; W(r) < О, если действуют силы притяжения. Выражение (3) симметрично относительно q и q0, так как это энергия взаимодействия.
Дата добавления: 2015-08-11; просмотров: 1429;
