Послідовність 2D NOESY
Принцип отримання двомірного набору даних в експерименті NOESY цілком аналогічний до того, що було описано для експерименту COSY. Відмінність полягає в тому, що в цьому випадку кроспіки відповідають ЯЕО-кореляціям між відповідними сигналами. Тому спектр являє собою графічне подання просторових взаємодій ядерних спінів. Для того, щоб показати читачеві практичну цінність методу NOESY перш ніж розглянути імпульсну послідовність, наведемо приклад застосування методу для вивчення двох органічних сполук, одна з яких має просту будову, а друга - достатньо складна.
Перша сполука є заміщеним кумарином, що має будову 6.1.:

6.1.
В спектрі, що наведений на Рис. 6.1, маємо кроспік між ароматичними протонами 5Н та 6Н, що є віцинальними, і, відповідно розташованими поруч один з одним. Аналогічний кроспік ми б бачили в спектрі COSY.

Рис. 6.1. Спектр NOESY сполуки 6.1. Кореляції між сигналами протонів позначено горизонтальними та вертикальними лініями.
Для ідентифікації кроспіку корисно від нього провести горизонтальну та вертикальну лінії до перетину з діагоналлю. На точках перетину будуть міститися діагональні піки, між якими виник відповідний ЯЕО. Для названих кореляцій такі лінії проведено нижче від діагоналі. Крім того, на відміну від відповідного спектра COSY, в спектрі містяться кроспіки між сигналом 4-СН2 та сигналами протонів 3Н та 5Н, між якими знаходиться даний замісник. У даному випадку між сигналами немає ССВ, але вони розташовані в просторі достатньо близько для виникнення помітного ЯЕО. Аналогічні кроспіки виникають и між сигналами 7-ОСН3 та сигналами протонів Н6 та Н8. Таким чином, зі спектру легко провести віднесення сигналів метоксильних груп та підтвердити порядок заміщення в молекулі. Даний приклад наочно показує, як метод NOESY можна використати для підтвердження будови молекул.
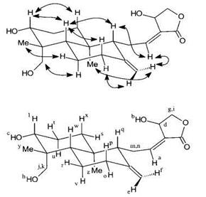
На Рис. 6.2. показаний набагато більш складний спектр NOESY природного терпену андрографоліду 6.2. у ДМСО. Нижче, на формулі сполуки представлена схема найважливіших просторових кореляцій, що можна дістати зі спектру. На рисунку знак піків виділений кольором. Позитивні сигнали позначено червоним кольором, а негативні – чорним. Видно, що більшість кроспіків мають знак, протилежний до знаку діагональних піків. Як це витікає з молекулярної маси молекули (М = 350), знак ЯЕО в цьому випадку повинен бути позитивним. У декількох кроспіків в області 3-6 м.ч. знак збігається зі знаком діагональних піків. Ці піки відповідають гідроксильним протонам і воді. Вони обумовлені протонним обміном.

6.2.

Рис. 6.22D NOESY спектр терпену андрографоліду 6.2.в DMSO при 25°C. Спектр був записаний з 600 мс змішувальним проміжком і релаксаційним проміжком 1.5 с. 2K точок даних були зібрані для 512 інкрементів по 16 сканів, використовуючи у вимірі f1 квадратурне детектування TPPI. Дані були оброблені функцією квадратичного косинусоїдального дзвона в обох вимірах з нуль-заповненням по f1.
Аналіз спектру проводиться цілком аналогічно до того, як це було показано у попередньому випадку. Для інтерпретації спектру від кожного зі знайдених крос піків проводиться горизонтальна та вертикальна лінії до перетину з діагоналлю спектру. Ці лінії повинні закінчуватись на двох діагональних піках, між якими виник кроспік. Наприклад, такий кроспік існує між сигналами з хімічними зсувами 3,1 м.ч. та 3,7 м.ч., що відповідає наявності ЯЕО між протонами Нk та Hj. У даному випадку наявність кроспіку є цілком передбачуваною, оскільки названі протони, як це витікає з формули сполуки, є гемінальними. У таких складних випадках, як той, що розглядається, найчастіше недостатньо мати оглядовий спектр, що містить всі кореляції, оскільки кроспіки можуть виявитися занадто малими. Найчастіше складний спектр розбивають на декілька ділянок, де містяться кроспіки і кожну з них записують окремо у зручному масштабі. Кожний такий фрагмент спектра аналізують окремо, а результати записують в таблицю, де зведено знайдені кореляції для кожного з наявних сигналів. Наприкінці аналізу таблиця міститиме всі наявні кроспіки ЯЕО. Подальший аналіз структури виконують вже без спектрів, а лише з табличними даними. Такий підхід є найбільш систематичним і запобігає виникненню помилок.
Звісно, щоб проаналізувати результати експерименту NOESY потрібно, щоб до його проведення вже було виконано віднесення сигналів у протонному спектрі. Тому спектру NOESY зазвичай передує вивчення спектрів COSY, що дозволяють знайти спіновий зв’язок між сигналами, а отже і спростити їхнє віднесення. Крім того, потрібно мати просторову модель досліджуваної молекули, або кілька варіантів моделей для альтернативних структур. Їх можна отримати або за допомогою комп’ютерного моделювання, або шляхом побудови молекули з моделей типу Дрейдингу. Лише співставлення наявних кроспіків з отриманими за допомогою молекулярного моделювання між’ядерними відстанями дозволяє зробити висновки про геометричну будову молекули.
Послідовність NOESY (Рис. 6.3.) відрізняється від COSY тим, що в ній період змішування включає два 90о імпульси, розділені часовим проміжком tm, під час якого виникає ЯЕО. Для пояснення його ролі в експерименті ми скористаємося векторною моделлю (Рис. 6.4.).

Рис. 6.3.Послідовність 2D NOESY і відповідний їй шлях перенесення когерентності. Переваги використання імпульсного градієнта поля (показано сірим) під час періоду змішування описані в тексті

Рис. 6.4.Еволюція векторів намагніченості при роботі послідовності NOESY. Інвертована намагніченість протягом періоду змішування генерує ЯЕО. Поперечна намагніченість, що залишилася, видаляється за допомогою фазового циклу або імпульсного градієнта поля.
Дією першого 90о імпульсу вся повздовжна намагніченість переноситься в поперечну площину. Після первинного збудження має місце період еволюції t1. У цей час вектор намагніченості перебуває в перпендикулярній площині, а його компоненти, що відповідають хімічним зсувам та КССВ еволюціонують згідно до своїх частот прецесії. Період еволюції змінюється від одного інкременту до іншого і служить, як і в методі COSY, для генерації другого виміру непрямим методом. На час подачі другого імпульсу кожний з векторів намагніченості, що відповідають окремим магнітним ядрам, можна представити у вигляді двох векторів, спрямованих в напрямку осей х та у. Другий імпульс один з цих векторів переносить до осі z. Якщо ми використовуємо імпульси 90ох, то в напрямку до осі z переміщується той компонент, що був спрямований вздовж осі у. В методі COSY ми використовували той компонент намагніченості, що залишався в поперечній площині, саме для нього другий імпульс здійснював перерозподіл намагніченостей у спіново-зв'язаних системах і таким чином генерував утворення кроспіків. Компонент намагніченості, що другий імпульс переміщував до осі z ми раніше ігнорували і не використовували. Але, цей компонент виявляється дуже корисним для генерування ЯЕО. Адже, як це ми бачили раніше з селективних експериментів, ЯЕО виникає у тому випадку, коли вектор намагніченості певного ядра виявляється інвертованим. У випадку спектроскопії NOESY інвертованими виявляються одночасно компоненти намагніченості всіх магнітних ядер, тому для всіх для них, якщо це тільки можливо з точки зору взаємного розташування ядер, виникнуть ЯЕО. Ефект ЯЕО для свого виникнення потребує певного часу. Цей час і забезпечується наступним періодом змішування. Компоненти намагніченості, що залишаються в поперечній площині, і які можна детектувати в експерименті COSY, в експерименті NOESY видаляють за допомогою подальшої обробки сигналу. На Рис. 6.3 для цього використано одиничний градієнтний імпульс, але, як ми покажемо далі, виділяти сигнал ЯЕО можна також і за допомогою відповідного фазового циклу. По закінченні періоду змішування, tm, новий розподіл населеностей, що виник, реєструється за допомогою ще одного 90о імпульсу. Дія цього імпульсу полягає в перенесенні намагніченості від осі -z в поперечну площину. При цьому переноситься виключно та намагніченість, яку до осі -z переніс другий імпульс. Її компоненти утворюють в кінцевому спектрі діагональні піки. Ці піки повинні бути інвертованими. Крім того, в поперечну площину переноситься намагніченість, що відповідає зміні інтенсивностей сигналів за рахунок ЯЕО. Вони можуть бути як позитивними, так і негативними, в залежності від особливостей молекулярного руху. Ці компоненти намагніченості в періоди часу t1 і tm мали різні частоти прецесії, отже в кінцевому спектрі вони утворять кроспіки між діагональними піками, для яких має місце ЯЕО. Ці ЯЕО і реєструються при зборі даних, що відбувається безпосередньо після подачі третього імпульсу. Таким чином, в результаті дії послідовності NOESY замість кроспіків, що пов’язані з переносом когерентності (їх ми зі спектра видаляємо) з’являються кроспіки, що пов’язані виключно зі змінами населеностей.
Для досягнення необхідного співвідношення сигнал/шум, послідовність повторюється багаторазово. Оскільки для повного відновлення вихідної намагніченості перед наступним сканом потрібен період часу 5Т1, то експеримент займає досить багато часу, особливо для малих молекул. На практиці в цьому випадку застосовують більш короткий період релаксації, що дорівнює 1-3с. (1-2Т1 для спіну, що релаксує найбільш повільно)
Послідовність NOESY багато в чому є аналогічною до послідовності DQF-COSY, оскільки обидві вони включають 3 послідовних 90о імпульси, що розділені певними проміжками часу. Тому вона вимагає аналогічного виділення цільових сигналів ЯЕО і придушення небажаних сигналів за допомогою підходящого фазового циклу (Табл. 6.1). Оскільки ЯЕО зв'язаний винятково із населеностями ядерних рівнів, то порядок когерентності відповідної йому z-намагніченості дорівнює нулю. Внаслідок цього сигнали ЯЕО нечутливі до змін фази радіочастотних імпульсів. Тому при 4-кроковому фазовому циклі можна видалити зі спектра сигнали, що пов'язані з 1- і 2-квантовою когерентністю, які виникають за період tm. Для видалення з результуючого спектру аксіальних піків цикл повторюється з додатковою інверсією фази препаруючого імпульсу і приймача. Таким чином, отримуємо 8-кроковий фазовий цикл. Оскільки хімічний обмін також пов'язаний з обміном поздовжньої намагніченості певних сигналів, то в результаті експерименту NOESY обмінні процеси також проявляються в кінцевому спектрі аналогічно до того, як це було описано вище для перенесення насичення в одномірних експериментах. Якщо описувана послідовність використовується для вивчення обмінних процесів, її ще називають EXSY (ЕХchange SpectroscopY), див розділ 6.2.3.
Таблиця6.1.Базовий фазовий цикл NOESY для трьох імпульсів (Pn) і приймача (Pr) з усуненням аксіальних піків
| Скан | Р1 | Р2 | Р3 | Pr |
| x | x | x | x | |
| x | y | y | y | |
| x | x | -x | -x | |
| x | x | -y | -y | |
| -x | x | x | -x | |
| -x | X | y | -y | |
| -x | x | -x | x | |
| -x | x | -y | y |
Для NOESY досить бажаним є використання фазочутливого подання спектрів, оскільки в цьому випадку, з одного боку, вдається розрізнити ЯЕО і обмінні процеси за знаком ефектів, що спостерігаються, а з другого боку – позбутися ряду артефактів, що описані нижче. Фазочутливе подання спектрів дозволяє також підвищити розділення у спектрах і проводити кількісні визначення величин ЯЕО. В експерименті NOESY кроспіки мають однакову фазу, форма лінії відповідає сигналу поглинання і піки розташовані симетрично відносно діагоналі (оскільки зміна інтенсивностей паралельних переходів відбувається однаковою мірою). Знак кроспіків відносно діагональних піків визначається особливостями молекулярного руху і збігається зі знаком ефекту ЯЕО (Табл. 6.2).
Таблиця 6.2.Відгуки, що спостерігаються в експерименті NOESY
Знак діагоналі Походження кроспіка Знак кроспіка
Негативний ЯЕО Негативний
Негативний Позитивний ЯЕО Позитивний
Хімічний обмін Негативний
Селекцію необхідної когерентності можна здійснити також і за допомогою імпульсних градієнтів поля. У цьому випадку відпадає потреба використання фазового циклу. Це може бути здійсненим шляхом введення одиничного z-градієнта під час періоду змішування. При цьому всі вектори когерентності, за винятком z-намагніченості, розфазовуються (Рис. 6.3). Але виграш у часі проведення експерименту при градієнтній селекції досягається тільки у випадку, якщо концентрація зразка є настільки високою, що кількість сканів на кожний інкремент буде меншою за 8. Незважаючи на те, що виділення цільових сигналів ЯЕО методами фазового циклу або градієнтів не мають переваг з точки зору часу експерименту, але метод градієнту все ж більш прийнятний, оскільки видалення непотрібних сигналів типу COSY за його допомоги відбувається більш повно. При роботі з водними розчинами, у базову імпульсну послідовність можуть бути також включені схеми придушення сигналу розчинника, що описані в розділі 4.
Дата добавления: 2015-08-11; просмотров: 791;
