ПДК наиболее распространенных веществ
| Наименование загрязняющего вещества | ПДК мр, мг/м3 | ПДК сс, мг/м3 |
| Азота диоксид | 0,085 | 0,04 |
| Азота оксид | 0,4 | 0,06 |
| Ангидрид серный | 0,5 | 0,05 |
| Аммиак | 0,2 | 0,04 |
| Бенз(а)пирен | — | 0,1 мкг/ЮОм3 |
| Взвешенные вещества | 0,5 | 0,15 |
| Ртуть металлическая | — | 0,0003 |
| Свинец и его соединения | — | 0,0003 |
| Углерода оксид | ||
| Угольная зола ТЭС | 0,05 | 0,02 |
| Формальдегид | 0,35 | 0,003 |
| Хлор | 0,1 | 0,03 |
Если вещество оказывает на окружающую природную среду вредное действие в меньших концентрациях, чем на человека, то при нормировании исходят из порога действия этого вещества на окружающую природу. Воздействие веществ, для которых не установлены ПДК, оценивается по ориентировочному безопасному уровню воздействия загрязняющего атмосферу вещества (ОБУВ). ОБУВ – временный гигиенический норматив для загрязняющего атмосферу вещества, устанавливаемый расчетным методом для целей проектирования промышленных объектов.
Установленные в других странах ПДК могут отличаться в большую или меньшую сторону.
Некоторые вещества при одновременном присутствии в атмосферном воздухе обладают однонаправленным действием, т.е. эффектом суммации. В этом случае при оценке качества атмосферного воздуха должно выполняться следующее условие:

где С1 С2 ..., Сп — концентрация каждого из веществ, обладающих эффектом суммации, мг/м3.
Перечень веществ, обладающих эффектом суммации, постоянно дополняется и на сегодня насчитывает 51 группу веществ однонаправленного действия. действия норматива ПДВ, как правило, не превышает 5 лет.
Для каждого города на основании нормативов ПДВ предприятий и фонового состава атмосферного воздуха разрабатывают общегородские нормативы ПДВ, в соответствии с которыми индивидуальные ПДВ предприятий могут быть пересмотрены в сторону уменьшения.
Соблюдение установленных нормативов качества атмосферного воздуха обеспечивает благоприятную экологическую обстановку в данном районе в соответствии с требованиями закона об охране атмосферного воздуха.
Максимальная концентрация примеси с заданной вероятностью ее превышения определяется из предположения логарифмически нормального распределения концентраций примесей в атмосфере для заданной вероятности ее превышения:

где q – средняя концентрация; при Р=0,1% z=3,08; P=l% z=2,33; Р=5% z=l,65.
Индексы загрязнения атмосферы (ИЗА) — количественная характеристика уровня загрязнения атмосферы отдельной примесью, учитывающая различие в скорости возрастания степени вредности веществ, приведенной к вредности диоксида серы, по мере увеличения превышения ПДК

где Сi – константа, принимающая значения 1,7; 1,3; 1,0; 0,9 для соответственно 1, 2, 3 и 4-го классов опасности веществ, позволяющая привести степень вредности i-го вещества к степени вредности диоксида серы.
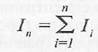
Комплексный индекс загрязнения атмосферы города (КИЗА) – количественная характеристика уровня загрязнения атмосферы, создаваемого п веществами, присутствующими в атмосфере города (или района города):

где п –количество рассматриваемых примесей (может включать в себя все загрязняющие вещества, присутствующие в атмосфере города, или только приоритетные вещества, определяющие состояние атмосферы).
Фоновая концентрация – статистически достоверная максимальная концентрация, Сф мг/м3. Она является характеристикой загрязнения атмосферы и определяется как значение концентрации, которое превышается не более чем в 5% случаев от общего количества наблюдений. Фоновая концентрация характеризует суммарную концентрацию, создаваемую всеми источниками, расположенными на данной территории.
Дата добавления: 2015-08-11; просмотров: 994;
