Адиабатный процесс
Адиабатным называется процесс, который протекает без теплообмена системы с внешней средой.
Этот процесс, наряду с ранее изученными, относится к основным термодинамическим процессам.
Так как процесс теплообмена требует некоторого времени, то к адиабатным можно отнести практически все быстропротекающие процессы, например: взрыв, удар, истечение газа из сопла реактивного двигателя, распространение звука в газе и т.д.
Поскольку теплообмен в адиабатном процессе отсутствует
, то первое начало термодинамики запишется так:
или ,
| (2.1) |
то есть работа в адиабатном процессе совершается за счет изменения внутренней энергии газа. В соответствии с формулами (2.3) и (4.1):
| (2.1а) |
Отсюда видно, что:
- при адиабатном расширении газа (
, работу совершает газ) он охлаждается 
- при адиабатном сжатии газа
работу совершают внешние силы) он нагревается
.
Это явление широко используется в практике. Так, при адиабатном (быстром) сжатии воздуха в двигателе внутреннего сгорания его температура возрастает до 500-600о
, что приводит к самовоспламенению жидкого топлива, впрыскиваемого в цилиндр.
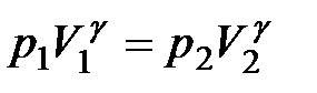
В адиабатном процессе изменяются все параметры газа: давление, объем и температура. Уравнения адиабатного процесса имеют вид:

и называются уравнениями Пуассона.
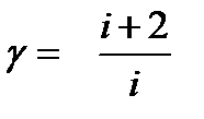
показатель степени в уравнении адиабатного процесса выражают через величину
,
|
которую называют показателем адиабаты. Выразим показатель адиабаты через число степеней свободы молекул. Для этого воспользуемся уравнением Майера (1.13):
| (2.3) |
Для одноатомных газов 
Для двухатомных газов 
Для многоатомных газов 
Из формулы (2.3) выразим
:
,
|
На рис. 2.1 в координатах
изображен график адиабатного процесса в соответствии с уравнением Пуассона
. Это гипербола
-порядка. На этом графике пунктиром изображен график изотермического процесса (
).
| Так как , то в адиабатном процессе давление меняется быстрее, чем в изотермическом, и график адиабатного процесса идет круче, чем график изотермического.
Выше было отмечено, что работа газа в адиабатном процессе совершается за счет изменения его внутренней энергии, поэтому
| ||||||||||
Дата добавления: 2015-08-11; просмотров: 2548;

или
,
, то в адиабатном процессе давление меняется быстрее, чем в изотермическом, и график адиабатного процесса идет круче, чем график изотермического.
Выше было отмечено, что работа газа в адиабатном процессе совершается за счет изменения его внутренней энергии, поэтому