Применение первого начала термодинамики к изопроцессам. 1. Изотермический процесс – это процесс, происходящий при постоянной температуре

 

1. Изотермический процесс – это процесс, происходящий при постоянной температуре . Для идеального газа он описывается законом Бойля-Мариотта и на диаграмме (рис. 1.7) изображается гиперболой 1-2.

Ат
Рис. 1.7

 

Так как , то и изменение внутренней энергии
 

В изотермическом процессе теплота, полученная системой идет на совершение работы.

Работа при изотермическом расширении газа от объема до объема , согласно формуле (1.2) равна:

 

 
     

Из уравнения состояния газа выразим :

 

и подставим его в выражение для работы:

 

(1.6)

 

Первое начало термодинамики для изотермического процесса имеет вид:

 

или  

 

(1.7)

 

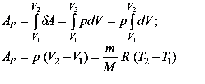
2. Изобарический процесс – это процесс, протекающий при постоянном давлении .

При нагревании газа при постоянном давлении теплота, подведенная к газу, идет на изменение его внутренней энергии и на совершение этим газом работы.

На диаграмме этот процесс изображен в виде прямой 1-2 (рис. 1.8)

 
Рис. 1.8

 

Работа при изобарическом расширении газа численно равна площади прямоугольника и определяется выражением:  
(1.8)

 

Воспользуемся выражением (1.8) для выяснения физического смысла универсальной газовой постоянной :

 

При и .

Универсальная газовая постоянная – это физическая величина, численно равна работе, совершаемой одним киломолем идеального газа при нагревании его на один кельвин при постоянном давлении.

Для изобарического процесса первое начало термодинамики имеет вид

 

или  

 

 

 

(1.9)

 

3. Изохорический процесс – это процесс, протекающий при постоянном объеме . На диаграмме этот процесс изображен в виде прямой 1-2 (рис. 1.9).

Рис. 1.9

 

Так как , то и . Это значит, что при изохорическом процессе газ не совершает механическую работу. Тогда первое начало термодинамики для изохорического процесса будет иметь вид:
или  
  (1.10)  
         

 

Следовательно, в изохорическом процессе все сообщаемое газу количество теплоты идет на изменение его внутренней энергии.

 








Дата добавления: 2015-08-11; просмотров: 952;


Поиск по сайту:

При помощи поиска вы сможете найти нужную вам информацию.

Поделитесь с друзьями:

Если вам перенёс пользу информационный материал, или помог в учебе – поделитесь этим сайтом с друзьями и знакомыми.
helpiks.org - Хелпикс.Орг - 2014-2026 год. Материал сайта представляется для ознакомительного и учебного использования. | Поддержка
Генерация страницы за: 0.009 сек.