Теплоемкости газов
Теплоемкость вещества зависит от способа нагрева. Рассмотрим молярную теплоемкость газа при совершении им изопроцессов.
Теплоемкость называется изохорической, если газ нагревают при постоянном объеме.
В соответствии с формулами (1.4) и (1.10) имеем:
|
| (1.11) |
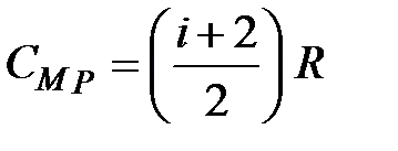
Теплоемкость называется изобарической, если газ нагревают при постоянном давлении.
В соответствии с формулами (1.4) и (1.9) получим:
|
| (1.12) |
Из формул (1.11) и (1.12) видно, что молярные теплоемкости газа зависят только от числа степеней свободы молекул, из которых состоит газ. Между изобарической и изохорической теплоемкостями существует связь:
| |||
| (1.13) | ||
Уравнение (1.13) называется уравнением Майера.
Дата добавления: 2015-08-11; просмотров: 809;
