Основные термодинамические понятия: энергия, работа, теплота, теплоемкость, термодинамические функции состояния.

 

Термодинамика – это учение о связи и взаимных превращениях различных форм энергии, теплоты и работы. Термодинамика строится на основе фундаментальных принципов (законов, начал), которые являются обобщением многочисленных наблюдений и результатов эксперимента. С помощью этих законов, не вникая в молекулярное строение тел, можно получить многие сведения о свойствах тел в различных условиях.

Совокупность рассматриваемых тел, обменивающихся энергией между собой и с другими (внешними) телами, называется термодинамической системой.Термодинамической системой может быть совокупность большого числа микрочастиц, участвующих в тепловом движении; может быть тело, часть тела или совокупность тел.

При изучении термодинамической системы необходимо учитывать не только механическую энергию (кинематическую и потенциальную) системы как целого, но и энергию движения и взаимодействия микрочастиц этой системы, называемую внутренней энергией системы. В общем случае внутренняя энергия системы складывается из кинетической энергии теплового движения молекул, потенциальной энергии их взаимодействия, внутриатомной и внутриядерной энергий. Два последних вида энергии термодинамика не учитывает. В идеальном газе, кроме того, пренебрегают потенциальной энергией взаимодействия молекул. Внутренняя энергия определяется состоянием тела. Это значит, что, если термодинамическая система находится в состоянии 1, характеризуемом параметрами (рис. 1.1), то внутренняя энергия в этом состоянии может иметь единственное значение энергии, определяемой формулой:

 

При переводе системы в другое состояние с параметрами состояние системы будет уже другим и внутренняя энергия примет значение

 
 
Рис.1.1 1.1  

 

Изменение внутренней энергии . В состоянии 2 систему можно было перевести через различные промежуточные состояния, например, через состояние или через состояние . Измерение внутренней энергии не будет зависеть от пути перехода:
     

Следовательно, внутренняя энергия является функцией состояния системы.

 
 
 
 
 
 
Рис. 1.2

Если в результате какого-то процесса система возвращается в первоначальное состояние (рис. 1.2), то изменение ее внутренней энергии будет равно нулю, т.е.
 

Переход системы путем расширения или сжатия из одного состояния в другое сопровождается совершением работы. При этом происходит изменение состояния системы, изменяется ее энергия.

 

Работа – это мера переданной механической энергии системы в процессе перехода ее из одного состояния в другое.

На рис. 1.1 изображен процесс расширения газа (кривая ). Если бы условия расширения были другими, и кривая расширения была бы другой (например, ).

Полная работа расширения при переходе системы из состояния 1 в состояние 2 равна:

(1.2)

Предположим, что газ вначале расширяется (линия ) на рис.1.6, а затем сжимается (линия ) и возвращается в первоначальное состояние. При расширении - газ совершает работу, численно равную площади фигуры .

При сжатии газа - работу совершают внешние силы. Эта работа численно равна площади фигуры . Работа, совершаемая в рассмотренном замкнутом процессе (цикле), численно равна площади фигуры, ограниченной графиком замкнутого процесса.

 

 

 

Рис. 1.6
 
 
 

 

Существует и другой способ передачи энергии, при котором происходит изменение энергии хаотического молекулярного движения взаимодействующих систем. Например, при погружении холодного тела в горячую воду уменьшается интенсивность теплового движения молекул воды и увеличивается энергия теплового движения молекул тела, в результате которого температура тел выравнивается.

Величину переданной энергии теплового движения молекул измеряют количеством теплоты.

 

Теплота есть мера переданной в процессе теплопередачи от одного тела к другому энергии теплового (неупорядоченного) движения молекул. В рассмотренном примере тело, погруженное в воду, получает энергию ( ), а вода отдает ( ).

Таким образом, теплота и работа – это две эквивалентные, но не равнозначные формы передачи энергии одним телом другому при их взаимодействии. Теплота преобразуется в работу или работа в теплоту в строго количественных соотношениях.

В системе СИ теплота и работа измеряются в одних и тех же единицах – джоулях. Теплота, как и работа, не является функцией состояния системы.

Теплоемкостью называется физическая величина, численно равная количеству теплоты, которое нужно сообщить телу, чтобы увеличить его температуру на 1 Кельвин.

 

Теплоемкость единицы массы вещества называется удельной теплоемкостью

(1.3)

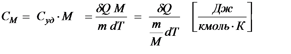
Теплоемкость одного моля (киломоля) вещества называется молярной теплоемкостью

(1.4)

 








Дата добавления: 2015-08-11; просмотров: 5411;


Поиск по сайту:

При помощи поиска вы сможете найти нужную вам информацию.

Поделитесь с друзьями:

Если вам перенёс пользу информационный материал, или помог в учебе – поделитесь этим сайтом с друзьями и знакомыми.
helpiks.org - Хелпикс.Орг - 2014-2026 год. Материал сайта представляется для ознакомительного и учебного использования. | Поддержка
Генерация страницы за: 0.009 сек.