Величины, характеризующие работу насоса
Для расчета насоса и оценки его основных свойств наиболее важными являются следующие величины.
1. Объемный расход жидкости Q, проходящей через насос, определяется, из найденного в расчете массового расхода компонента (
и
) по соотношению
,
где ρi - плотность компонента.
2. Напор насоса. Напор, создаваемый насосом, определяется необходимым давлением подачи рпод за вычетом давления компонента на входе в насос pвх.
,
где
- потери давления соответственно в форсунках, охлаждающем тракте, трубопроводах, клапанах и дросселях. Расчет гидравлических потерь в системе подачи ЖРД возможен только при известных или заданных размерах охлаждающего тракта камеры, схеме системы подачи, размерах и форме трубопроводов, а также типе и числе клапанов и других местных гидравлических сопротивлений: разветвлений, угольников и т.д. Потеря давления в форсунках известна из расчета форсунок.
Таким образом, перепад давлений, создаваемый насосом, запишем следующим образом:
.
Напор насоса H выражается в
и характеризует увеличение энергии 1 кг подаваемого компонента:
.
3. КПД насоса. Потери в насосе и его полный КПД ηн характеризуются тремя КПД: объемным ηо, гидравлическим ηг и механическим ηм.
Объемный КПД ηо определяется количеством жидкости, перетекающей из полости высокого давления обратно в полость низкого давления, и утечками жидкости из полости высокого давления через уплотнения. Таким образом,
,
где Ωо - объемный расход жидкости, проходящей через колесо нacoса. Для насосов ЖРД ηо = 0,9...0,95.
Гидравлический КПД ηг характеризует величину гидравлических потерь в насосе: срыв и удар потока на входе в колесо, диффузор, улитку, выходной патрубок, потери на трение.
Гидравлический КПД ηг определяется отношением действительного напора Н к теоретическому напору НТ:
.
Для насосов ЖРД ηг = 0,7…0,9. Произведение
называют внутренним КПД.
Механический КПД характеризует потери мощности из-за трения в подшипниках, уплотнениях, а также трения, возникающего при вращении колеса насоса в жидкости (дисковое трение). Для насосов ЖРД ηм ≈ 0,8…0,98.
Полный КПД насоса определяется по формуле
.
Полный КПД определяет долю полезной затраты мощности Nж на создание напора Н от всей затраченной мощности Nн:
.
4. Полезная мощность определяется по формуле
.
Потребная мощность, затраченная на привод насоса Nн вследствие потерь будет больше полезной мощности
.
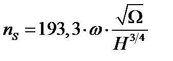
5. Коэффициент быстроходности насоса ns – число оборотов эталонного насоса, геометрически подобного натурному, имеющему тот же гидравлический и объемный КПД, но с напором 1
и полезной мощностью в 1 Вт. В общем случае имеем:
,
где ω – угловая скорость вращения вала.

| ns = 40…80 | ns = 80…150 | ns = 150…300 |
|
|
|
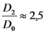
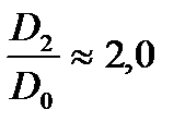
Рис. 11.4. Форма колеса насоса в зависимости от ns:
а – тихоходное колесо; б – нормальное колесо; в – быстроходное колесо
Величина ns характеризует форму колеса насоса (рис. 11.4). Действительно, при данном числе оборотов вала большее значение ns соответствует большим расходам Q и меньшим напорам Н. Увеличение Q и уменьшение H приводит к увеличению проходного сечения канала колеса (ширины) и к уменьшению выходного диаметра колеca D2. Таким образом, при больших значениях ns канал колеса будет коротким и широким. С уменьшением ns, канал сужается, а отношение
увеличиваемся.
Насосы большинства ЖРД, за исключением перекачивающих жидкий водород, имеют относительно малые расходы Q и большие напоры Н, т.e. малые значения ns (обычно меньше 100).
ЛЕКЦИЯ 12
Дата добавления: 2015-08-11; просмотров: 2436;
