Развязывающие устройства
С целью перехода от двухпроводных каналов к четырехпроводным и наоборот используют промежуточные устройства, которые получили название развязывающих устройств (РУ). Они обеспечивают согласование уровней сигналов, а также входных и выходных сопротивлений каналов.
В телефонных сетях общего пользования все абонентские линии (от оборудования абонента – ТА, до АТС) являются двухпроводными. Все остальные каналы связи внутризоновой и магистральной сетей являются четырехпроводными.
Электрическое соединение двух телефонных аппаратов двухпроводной линией показано на рисунке (Рис. 1.47). Питание микрофонов осуществляется от одной общей батареи питания, расположенной на АТС. Напряжение батареи выбрано равным 60 В с заземленным плюсом. Дроссели изолируют по разговорному току абонентские линии друг от друга.

Рис. 1.47. Простейший двухпроводный канал телефонной связи.
Простейший двухпроводный канал имеет два существенных недостатка:
- при работе микрофона разговорный ток попадает в собственные телефоны, что мешает слушать собеседника;
- акустический шум в помещении попадает от микрофона в телефоны, что также мешает связи.
Эти недостатки оказались столь серьезными, что пришлось усовершенствовать схему (Рис.1.47), введя в нее развязывающую (дифференциальную) систему. Дифференциальная система может быть мостового или компенсационного типа и устанавливается в телефонный аппарат для перехода от четырехпроводной схемы подключения микрофона и телефона к двухпроводной линии передачи и обратно.
Схема соединения двух телефонных аппаратов посредством двухпроводной линии с установленными в них дифференциальными системами мостового типа показана на рисунке (Рис.1.48).
В ТА «говорящего» абонента переменный ток от микрофона разветвляется на два, протекающих по обмоткам I и II во встречных направлениях. Первый проходит через обмотку I трансформатора, балансный контур, источник питания с малым емкостным сопротивлением к микрофону. Второй - через обмотку II трансформатора по линии связи Л1, через обмотки I и II трансформатора и балансный контур «слушающего» абонента, по линии связи Л2, источник питания также к микрофону. При равенстве комплексных сопротивлений балансного контура и двухпроводной линии микрофонные токи будут равны и наводимые ими ЭДС в обмотке III трансформатора также будут равны, но направлены встречно и компенсируют друг друга. Поэтому в цепи телефона «говорящего» абонента ток отсутствует, в отличие от цепи телефона «слушающего» абонента, в которой действует сумма ЭДС, созданная в обмотках I и II трансформатора разговорным током, поступающим из линии и протекающим по обмоткам I и II в одном направлении (согласно).

Рис. 1.48.Схема соединения двух телефонных аппаратов с дифференциальными системами по двухпроводной линии.
На практике, балансный контур в ТА настраивается под некоторую типовую абонентскую линию. Однако характеристики абонентских линий могут отличаться от номинальных, в связи с чем, балансный контур не будет точно согласован с линией и в ней появится отраженный сигнал (волна), который в виде эха возвратится к говорящему абоненту. Если время распространения сигнала в линии велико за счет ее большой протяженности, например, 1000 км, то эхо приходит с большим запаздыванием и ухудшает разборчивость речи. В таком случае следует применять специальные устройства – «эхозаградители» или «эхоподавители».
Функциональная схема телефонного аппарата, содержащего развязывающее устройство и с импульсным набором номера показана на рисунке (Рис.1.49). Когда трубка лежит на телефонном аппарате, замкнуты контакты 1 и 3 ключа Кл. При вызове, исходящем от АТС, по абонентской линии начинает протекать низкочастотный синусоидальный ток вызова, который активизирует звонок телефонного аппарата. После поднятия трубки ключ замыкает контакты 1 и 2, подсоединяя микрофон телефонного аппарата к абонентской линии, так что по ней может протекать разговорный ток.
При вызове, исходящем от телефонного аппарата, после поднятия трубки также замыкаются контакты 1 и 2 ключа Кл. При вращении диска номеронабирателя его контакты замыкают накоротко концы линий Л1 и Л2 и таким образом формируются импульсы постоянного тока отрицательной полярности, действующие на стороне АТС, число которых соответствует набираемой цифре номера. После набора номера на коммутаторе АТС осуществляется соединение абонентских линий вызывающего и вызываемого абонентов. В сторону ТА вызывающего абонента направляется сигнал (переменный ток): непрерывный - тон "ждите" или прерывистый - "занято". Если коммутированный канал (линия) не занят, то после поднятия трубки ТА на стороне вызываемого абонента можно вести разговор.

Рис. 1.49.Функциональная схема телефонного аппарата.
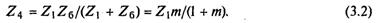
К развязывающим устройствам предъявляют специальные требования [1]:
- минимальное, а в идеальном случае, нулевое затухание в направлениях передачи: из сечения 4,4 в сечение 1,1 и приема сигналов -из1,1 в 3, 3 (Рис. 1.50, а);
- максимальное, а в идеале, бесконечное затухание в направлении развязки - из 4,4 в 3,3 (Рис. 1.50 а, б);
- минимальные искажения, сигналов создаваемые РУ.
Этим требованиям в той или иной степени удовлетворяют РУ, построенные по различным принципам, схемам и на различной элементной базе. Их можно классифицировать по следующим признакам:
- линейные на пассивных элементах с постоянными параметрами;
- линейные на активных элементах с постоянными параметрами;
- параметрические с управляемыми элементами.
Если затухание в сечениях между полюсами РУ (Рис.1.50,б) в прямом и обратном направлениях одинаково (а13 = а31 ,а14 = а41 ,a34 = а43), то РУ называется взаимным или обратимым.Этим свойством обладают линейные пассивные РУ,построенные по мостовой схеме, которые и будут рассматриваться в дальнейшем.
|
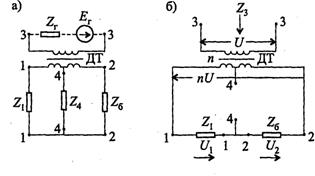
Мостовые РУ представляют собой сбалансированные электрические мосты (Рис.1.51а, б). В одно из его плеч включается двухпроводная линия (1,1, R1). Путем подбора сопротивления противоположного плеча (Zб , Rб) мост вводится всостояние равновесия. Пары приемного и передающего направлений четырехпроводного канала включаются вразные диагонали моста. Мостовые РУ называют дифференциальными системами (ДС).
В аппаратуре МСП нашли применение в основном два типа мостовых РУ: трансформаторные (Рис. 1.51 а) и резистивные (Рис. 1.51 б).
|
Трансформаторные РУ выполняются на основе дифференциального трансформатора (ДТ), имеющего две обмотки, причем одна из них выполненас отводом из средней точки.
Проанализируем работу такого РУ,считая ДТ идеальным, т.е. полагая активные сопротивления его обмоток равными нулю, индуктивные -бесконечности, рассеяние (индуктивные потери) -нулю.
Коэффициент т = W"1 / W'1 , где W"1 ,W'1 - число витков частей первичной обмотки называется коэффициентом неравноплечности, а коэффициент п = (W"1 + W'1) / W2 - коэффициентом трансформации. Случаю т = 1 соответствует равноплечное РУ.
|
Найдем соотношение между сопротивлениями цепей, подключенных к РУ, при котором выполняется условие баланса моста, т.е. отсутствует передача, мощности из одной диагонали (4,4) в другую (3,3), что соответствует бесконечному значению затухания а34.
В сбалансированной мостовой схеме изменение сопротивлений, подключенных к противоположным диагоналям моста, не влияет на передачу мощности из диагонали в другие точки моста. Чтобы упростить вывод аналитических выражений, обычно полагают сопротивление нагрузки в противоположной диагонали моста равным нулю (режим короткого замыкания - КЗ) или бесконечности (режим холостого хода - XX).
В частности, если рассматривается прохождение сигнала от источника, подключенного к диагонали 4-4, то внешнее сопротивление Z3 удобно принять равным нулю. К точкам 4,4 (Рис. 1.52 а)подключим генератор с внутренним сопротивлением Zг, к точкам 1,1 - линию с волновым сопротивлением Z1 а к точкам 2,2 - балансное сопротивление ZбПо отношению к точкам 4,4 они включены параллельно, и к ним приложено напряжение U4, так как при Z3 = 0 сопротивления обмоток W"1 ,W'1 также будут равны нулю. Результирующий магнитный поток, пронизывающий витки вторичной обмотки ДТ, в случае баланса равен нулю - это следует из условия
нулевой передачи в направлении от 4,4 к 3,3. Но этот поток создается двумя противоположно направленными токами I1 = U4/Z1 и I2 = U4 / Zб и равен нулю в случае, когда I1W"1 = I2W'1 или U4W'1 / Z1 = U4W'1 / ZБ Сокращая на U4 и W1', приходим к условию баланса моста
ZБ = mZ1 .(1.28)
При неидеальном ДТ и комплексном сопротивлении Z1из (1.28) следует, что сопротивление Zб должно быть комплексным. Оно представляет собой двухполюсник, называемый балансным контуром.
Определим входное сопротивление РУZ4 со стороны зажимов 4,4. Видеальной ДС сечения 3,3 и 4,4«развязаны», т.е. изменение сопротивления Z3 всечении 3,3 не должно изменять входное сопротивление в сечении 4,4. Положим, что Z3 = 0, тогда эквивалентное сопротивление полуобмоток W"1 ,W'1 будет также равно нулю

|

Найдем затухание в направлении 4,4 -1,1 используя рисунок (Рис. 1.52):
|
Из свойства взаимности следует, что а41 - а14. Аналогично находится затухание для направления 4,4-2,2:
|
|

Это и будет входное сопротивление РУ со стороны зажимов 3,3.

Рис. 1.53. Схемы, поясняющие принцип работы развязывающих устройств.
|
|

Определим затухание а12 в направлении 1,2. Для этого подключим генератор с внутренним сопротивлением Z1 со стороны зажимов 1,1 РУ. На входе 1,1 поглощается мощность Р1, равная сумме мощностей на всех зажимах РУ, т.е. P1 = Р2 + Р3 + Р4, но Р3 = P1/(1+m) [см. (1.33)],
а Р4 = mP1/(1+m). Нетрудно заметить, что Р3 +P4 = Р1,следовательно,
|
P2 = 0, т.е. в направлении от1,1 к 2,2 мощность не передается.
Таким образом, в трансформаторном РУ есть два направления развязки: 3,3 – 4,4 и 1,1-2,2. Входное сопротивление Z1определяется из условия баланса (1.28).
|
До сих пор рассматривалось сбалансированное РУ, идеально согласованное по всем входам и выходам. На практике это зачастую не выполняется, и сопротивление балансного контура Zб может отличаться от волнового сопротивления двухпроводной линии ZЛ, для т = 1. Врезультате нарушается условие баланса моста, затухание в направлении развязки становится конечным и недостаточно большим. Действительно, при Zл ≠ Z1 = Zб/ m нарушается согласование двухпроводной линии и РУ со стороны 1,1. Если к зажимам 4,4 будет подключен генератор, то часть его мощности, передаваемой в направлении 4,4-1,1, неизбежно отразится и, испытав затухание на участке 1,1-3,3, попадет на зажимы 3,3 (Рис. 1.54).
Полное затухание а43 равно сумме затуханий по участкам:
'?''*"•
|
|
Величину аотр называют также балансным затуханием Ае. Оно обычно не превосходит 25-30 дБ, если сопротивление балансного контура достаточно точно имитирует комплексное сопротивление линии в сечении 1,1, и падает дo 5-8 дБ, если Zб представлено резистором в 600 Ом. Подставляя в (1.36) величины а41, а13 из (1.30) и (1.37), получаем:
|
В случае равноплечного РУ (т = 1) затухание равно
|
|
Для увеличения затухания между направлениями развязки 4,4-3,3 и 1,1-2,2 необходимо обеспечить точное согласование входных сопротивлений РУ со стороны внешних нагрузок. Наиболее трудно выполнить это требование со стороны подключения абонентской линии (сечение 1,1), поскольку входное сопротивление этой линии Znимеет значительный разброс и к тому же частотно зависимо (Рис. 1.55). Сложная зависимость Zл,(f) не позволяет подобрать достаточно простой балансный контур Zб который имел бы сопротивление Zб(f) =т × Zл(f). Поэтому обычно ограничиваются выполнением условия Zб(f) ≈ т ×Zл.ср(f), где Zл.ср(f) - усредненная частотная зависимость Zл(f) (штриховая линия на Рис. 1.55). Однако даже это условие трудно выполнить для всех частот. В частности, если в качестве Zб используется однозвенный контур (Рис. 1.56 а), то согласование можно обеспечить только на двух частотах f1 и f2рассчитывая элементы R1 и С1 из системы уравнений:
|
При использовании двухзвенного балансного контура (Рис. 1.55 б, в)можно обеспечить согласование на четырех частотах f1÷f4. Для этого решается система из четырех уравнений Zб(fi)=w×|Zл(fi)|, i - 1÷ 4 относительно элементов R1,С1,R2,C2. На остальных частотах согласование не обеспечивается, что ведет к уменьшению балансного затухания Ae(f) и соответственно затухания развязки a43(f) и a12(f)
Наряду с классическим вариантом ДС, выполненным на основе двух обмоточного трансформатора с отводом (Рис. 1.55 а), применяются ДС и на основе трех обмоточного трансформатора. Наличие трех разделенных обмоток и возможность различного подключения концов этих обмоток позволяет получить другие варианты построения ДС.
Резистивные РУ нашли применение в аппаратуре МСП благодаря своей простоте и низкой стоимости. Мост, образованный сопротивлением линии Zл = R1 резисторами R14, R24, Rб балансируется резистором Rб (Рис. 1.55 б)из условия (1.28), где т = R24/R14 . Если выполняется условие R14 = R24 = Rб = R , то согласованное включение на всех зажимах резистивного РУ реализуется при R1 = Z3 = = Z4 = Rб = R.
По сравнению с трансформаторными РУ резистивные характеризуются вдвое большими затуханиями в направлениях передачи (6 дБ), более узкой полосой рабочих частот и меньшим затуханием в направлении развязки. Однако в силу простоты и дешевизны они находят применение в менее ответственных цепях: для ввода сигналов контроля исправности, набора номера АТС, служебной связи и т.п.
Рассмотрим влияние РУ на параметры двустороннего канала передачи на примере двустороннего усилителя и искажения от обратной связи из-за не идеальности РУ.
При малом переходном затухании а43 РУ оказывает влияние на параметры двухстороннего канала передачи за счет:
- ухудшения устойчивости канала и искажения его частотных характеристик из-за обратной связи через направление приема;
- появления эхо-сигналов из-за отражения энергии в месте рассогласования РУ и линии.
Двусторонний (дуплексный) усилитель (ДУ) предназначен для усиления телефонных сигналов, передаваемых в двух противоположных направлениях по двухпроводной линии связи. Он состоит из двух усилителей У1 и У2 и двух дифференциальных систем ДС1 и ДС2, предназначенных для перехода из двухпроводной линии на четырехпроводную и обратно при разделении сигналов в направлениях А-Б и Б-А (Рис.1.56).
Усилители и дифференциальные системы образуют замкнутые электрические цепи в двух направлениях передачи. Сигнал, передаваемый по двухпроводной линии с направления А. через ДС1 поступает на вход усилителя У1 и через ДС2 поступает на вход двухпроводной линии направления Б. В обратном направлении, сигнал из линии Б через ДС2 поступает на вход усилителя У2 и через ДС1 передается в линию А.
По причине не идеальности ДС, что проявляется в виде не полного ослабления сигнала между точками 4 и 3 (Рис.1.56), часть энергии сигнала, например, с выхода У1 и передаваемого в линю Б, ответвляется через ДС2, усиливается в усилителе У2 и снова поступает через ДС1 на вход усилителя У1. Аналогично часть энергии сигнала, передаваемого в направлении Б-А, ответвляется через ДС1, усиливается в усилителе У1 и через ДС2 поступает на вход усилителя У2.
Возникшие в реальных ДУ токи паразитных обратных связей искажают передаваемую информацию каждого направления и при определенных условиях могут привести к самовозбуждению ДУ.
Самовозбуждение, которое проявляется в виде установления колебательного процесса в системе, охваченной обратной связью (в данном случае паразитной) возникает тогда, когда для какой либо из гармоник, присутствующих в спектре сигнала или в спектре шума выполняется условие баланса (равенства) фаз гармоники действующей на входе усилителя и поступающей на его вход по цепи обратной связи. При этом они складываются и их сумма усиливается. Если при этом общий коэффициент усиления по разомкнутой петле обратной связи на частоте этой гармоники больше единицы, то в замкнутом состоянии в такой системе амплитуда колебания возрастает до тех пор, пока усилительные элементы не войдут в режим насыщения и их коэффициенты усиления существенно снизятся.
В соответствии с критерием устойчивости Найквиста [1,5] самовозбуждение ДУ наступает при выполнении двух условий:
условия баланса амплитуд a1+a2≤Sy1+Sy2 , (1.41)
и условия баланса фаз φoc=φ1+φ2+θ1+θ2=2kπ, (1.42)
где a1, a2 – переходные затухания ДС1 и ДС2 в направлении 4-3 (Рис.1.56); Sy1, Sy2 – усиления усилителей У1 и У2; φ1, φ2, θ1, θ2 – фазовые сдвиги, вносимые элементами ДУ; k=0,1,2,…
Иными словами, самовозбуждение в замкнутой системе возникает, если суммарное затухание по замкнутой петле меньше суммарного усиления в этой петле, а вносимый ею суммарный фазовый сдвиг φoc равен нулю или целому числу периодов.
В рассматриваемой замкнутой системе фазовые соотношения случайны, и можно предположить, что условие баланса фаз всегда выполняется на одной из частот рабочей полосы ДУ. Поэтому для обеспечения безусловной устойчивости необходимо обеспечивать неравенство
. Величина, показывающая, насколько затухание превышает усиления в замкнутой петле системы, называется запасом устойчивости ДУ:
(1.43)
Входящие в (1.43) значения переходного затухания ДС1 и ДС2 могут быть представлены тремя слагаемыми: рабочим затуханием ДС в направлении 4-1, балансным затуханием Al (затуханием отражения) и рабочим затуханием той же ДС в направлении 1-3:
. (1.44)
Величина балансного затухания зависит от несогласованности двухпроводной линии с ДС и рассчитывается по формуле
, (1.45)
где Zл, Zб – сопротивления двухпроводной линии и балансного контура (БК). БК обеспечивает балансировку дифсистем.
Учитывая то, что усиление усилителя Syi может быть представлено через усиление канала Si данного направления
Syi=Si+a1-3+a4-1 , (1.46)
на основании (1.43), (1.44), (1.46) запас устойчивости можно выразить относительно доступных для измерений полюсов на входе и выходе двустороннего усилителя:
, (1.47)
где
– балансные затухания ДС1 и ДС2;
– усиления первого и второго каналов ДУ.

Рис. 1.56 Функциональная схема двустороннего усилителя

Рис. 1.57. Амплитудно-частотные характеристики усилителя

Рис.1.58. Зависимость приращения усиления от запаса устойчивости усилителя
Обычно в линию связи включается последовательно до пяти дуплексных усилителей. Возникшие в каждом из них токи обратной связи охватывают одновременно несколько усилителей, увеличивая вносимые искажения сигнала. Величина искажений зависит от запаса устойчивости aoc и величины фазового сдвига φос в петле ОС. В зависимости от значения φос обратная связь может увеличивать (положительная ОС) или уменьшать (отрицательная ОС) усиление усилителей. Примерный вид амплитудно-частотных характеристик (АЧХ) усилителя при разомкнутой (1) и замкнутой (2) цепи ОС показан на рисунке (Рис.1.57).
На практике для оценки искажений в ДУ определяют предельные значения изменения усиления при наличии положительной (φос=2kπ) и отрицательной (φос=(2k+1)π) обратных связей.
Приращение усиления при положительной ОС составляет
, дБ. (1.48)
Уменьшение усиления при отрицательной ОС составляет
, дБ. (1.49)
Влияние токов положительной ОС всегда больше влияния токов отрицательной ОС. При аос ≥ 25 дБ значения ΔS+ и ΔS- примерно равные (Рис.1.58). С искажениями можно не считаться, если аос ≥ 35 дБ. В этом случае величина искажений от обратной связи ΔS ≤ 0,2 дБ.
Для снижения искажений от ОС в дуплексных усилителях необходимо увеличивать запас устойчивости аос путем улучшения согласования дифференциальных систем и оптимального выбора усиления усилителей.
Эквивалентом двустороннего усилителя является стандартный канал тональной частоты (ТЧ) с двухпроводным окончанием (Рис. 1.59).
Канал ТЧ состоит из двух встречных каналов, объединенных на концах дифференциальными системами ДС1 и ДС2 для перехода от четырехпроводной к двухпроводным линиям. Нежелательная обратная связь в канале ТЧ, как и в ДУ, образуется вследствие недостаточной балансировки ДС. Повышение устойчивости двустороннего телефонного канала сопряжено с повышением запаса устойчивости аос.
В соответствии с формулой (1.47) запас устойчивости канала ТЧ относительно входа ДС1 и выхода ДС2 (точки А и Б на схеме Рис. 1.59) определяется суммой балансных затуханий дифсистем аос=Аl1+Al2, так как S1=S2=0. Для наихудших условий, например, режима холостого хода или короткого замыкания на двухпроводных окончаниях (точки К на Рис.1.59) запас устойчивости аос=4атр.у.=2а0=14 дБ, где атр.у – затухание транзитного удлинителя, равное 3,5 дБ; а0 – остаточное затухание канала ТЧ. На практике величина аос ≥ 25 дБ и максимальное значение изменения усиления двустороннего телефонного канала от токов обратной связи ΔS ≤ 0,6 дБ. Такая величина амплитудно-частотных искажений является допустимой.

Рис. 1.59. Структурная схема канала тональной частоты в ЦСП
Дата добавления: 2015-08-11; просмотров: 4481;
