Замена переменных в выражении, содержащем обыкновенные производные.
Пусть в дифференциальном выражении
требуется перейти к новым переменным:
независимой переменной и
функции, связанным с прежними переменными
и
уравнениями
. (7)
Дифференцируя уравнение (7), будем иметь:
.
Аналогично выражаются высшие производные. В результате мы получаем
.
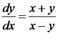
Пример 3. Преобразовать уравнение
перейдя к полярным координатам
.
Решение.Рассматривая
как функцию
, получим
,
отсюда
,
или после упрощений
.
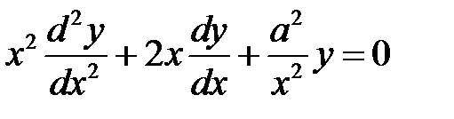
Пример 4. Преобразовать уравнение
, полагая 
Дата добавления: 2015-08-11; просмотров: 2118;
