Дифференциальный усилитель. Рассмотренный усилитель по схеме с общим эмиттером применяется достаточно широко, но имеет ряд недостатков - малое входное и большое выходное сопротивления
Рассмотренный усилитель по схеме с общим эмиттером применяется достаточно широко, но имеет ряд недостатков - малое входное и большое выходное сопротивления, зависимость коэффициента усиления от параметров нагрузки. Эти недостатки частично или полностью исключены в дифференциальном усилителе.
Простейшая схема дифференциального каскада приведена на рис.14.3. Транзисторы Т1 и Т2, а также резисторы Rк1 и Rк2 образуют мост. В диагональ 1 - 1' моста включены источники питания + Ек и -Ек, а также Rэ. В диагональ 2 - 2' включена нагрузка - RH. Для нормальной работы каскада мост должен быть строго сбалансирован, т.е. Rк1 = Rк2, а транзисторы должны иметь одинаковые параметры, т.е. должны быть изготовлены по одной технологии, на одном кристалле. Поэтому дифференциальные каскады изготовляют в заводских условиях в виде микросхем.
Пусть
. Токи транзисторов Т1 и Т2 создают на сопротивлении Rэ падение напряжения URэ, причем
. (14.9)
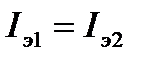
Это напряжение является напряжением смещения для обоих транзисторов. Так как параметры транзисторов одинаковы, то и токи транзисторов одинаковы т.е.
;
;
.Равные коллекторные токи создают на равных сопротивлениях Rк1 и Rк2 равные падения напряжений Uк1=Uк2. Поэтому
.
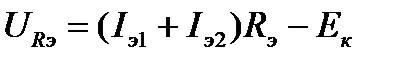
Резистор Rэ образует цепь ООС по току, обеспечивает температурную стабилизацию и устраняет дрейф нуля ( отклонение Uвых от нуля за счет нестабильности Ек).
Источник сигнала может подключаться ко входу одного из транзисторов (при этом вход другого транзистора заземляется), либо между базами двух транзисторов. Рассмотрим первый вариант включения. Пусть источник сигнала е(t) включен ко входу транзистора Т1, т.е. Uвх1 = е. Вход транзистора Т2 заземлен. Пусть также е > 0. Под воздействием входного сигнала увеличиваются: ток базы
; ток коллектора
и ток эмиттера
первого транзистора. Приращение тока эмиттера DIэ1 вызывает приращение падения напряжения URэ (см.14.9), т.е. напряжение ООС на участке база-эмиттер транзистора Т2 и уменьшит ток Iэ2 так, что
.
Следовательно
;
;
.
Таким образом, благодаря ООС по току, воздействие сигнала на вход одного из транзисторов вызывает равные по величине и противоположные по знаку изменения токов и напряжений в обоих транзисторах.
Отметим, что при подаче сигнала на вход транзистора Т2 физические процессы каскада не изменятся. Однако полярность выходного сигнала будет противоположной входному.В связи с этим вход транзистора Т1 называют прямым, а вход транзистора Т2 - инверсным. Кроме того, ко входам транзисторов можно подключать независимые источники сигналов Uвх1 и Uвх2. В этом случае выходной сигнал (в классе А) может быть найден методом суперпозиции от воздействия каждого из сигналов.
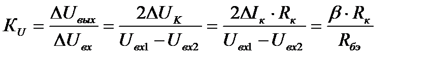
Оценим основные параметры каскада. Для этого учтем, что за счет ООС всегда
, а приращения тока базы протекают через входные цепи (участки база - эмиттер) двух транзисторов. Значит:
. (14.9)
Тогда
.
Если RH=
, то
. (14.10)
Из (14.10) следует, что ООС не влияет на коэффициент усиления каскада. Следовательно, Rэ может быть достаточно большим.
Входное сопротивление каскада определим с учетом (14.9)
. (14.11)
Аналогично найдем, что и
.
Таким образом, дифференциальный каскад имеет в два раза большие сопротивления Rвх и Rвых, а его коэффициент усиления не зависит от значения Rэ.
Дата добавления: 2015-08-11; просмотров: 802;
