Пример расчета трехфазной электрической цепи.
Для электрической цепи, по заданным параметрам и линейному напряжению, определить фазные и линейные токи, ток в нейтральном проводе (для четырехпроводной схемы), активную мощность всей цепи и каждой фазы отдельно. Построить векторную диаграмму токов и напряжений на комплексной плоскости.
Дано: UA=380B, Rа=8 Ом, Rв=4 Ом, Rс=6 Ом, Xа=4 Ом, Хв=3 Ом, Хс=8 Ом.

Решение:
Считаем, что вектор фазного напряжения Ua направлен по действительной оси
1) Напряжения фаз



2) Сопротивление фаз



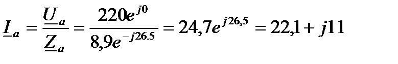
3) Токи в фазах



4) Ток в нейтральном проводе

5) Определяем активную мощность фаз и цепи
Вт
Вт
Вт
Вт
По данным строим векторную диаграмму
mi=10 A/см
m0=40 B/см

Дата добавления: 2015-08-11; просмотров: 6239;
