Трансформатор без стального сердечника
|
| Широкое применение в электротехнике имеет трансформатор – устройство, предназначенное для преобразования величины переменных напряжений и токов. В простейшем случае он не имеет ферромагнитного сердечника и представляет собой две катушки с индуктивной связью. |
Напряжение
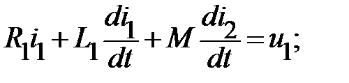
источника приложено к первичной катушке трансформатора, к вторичной катушке подключена нагрузка. Тогда уравнения по второму закону Кирхгофа для первичной и вторичной цепей при показанных на рисунке одноименных зажимах и положительных направлениях токов, при которых потоки самоиндукции и взаимоиндукции складываются, получают следующий вид:

,
где
– напряжение на приемнике,
и
– сопротивление и индуктивность первичной и вторичной, катушек, соответственно.
При сопротивлении нагрузки
уравнения трансформатора в комплексной форме имеют вид:
;
.
Здесь
,
,
.
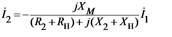
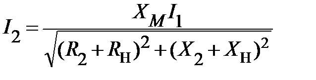
Из второго уравнения может быть определен комплекс вторичного тока:
.
Переход от комплекса вторичного тока к его действующему значению дает:
,
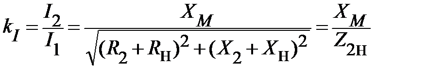
откуда может быть определен коэффициент трансформации тока:
.
Из этих соотношений видно, что коэффициент трансформации тока не является постоянной величиной, а зависит от сопротивления нагрузки.
Коэффициент трансформации напряжения
также зависит от сопротивления приемника.
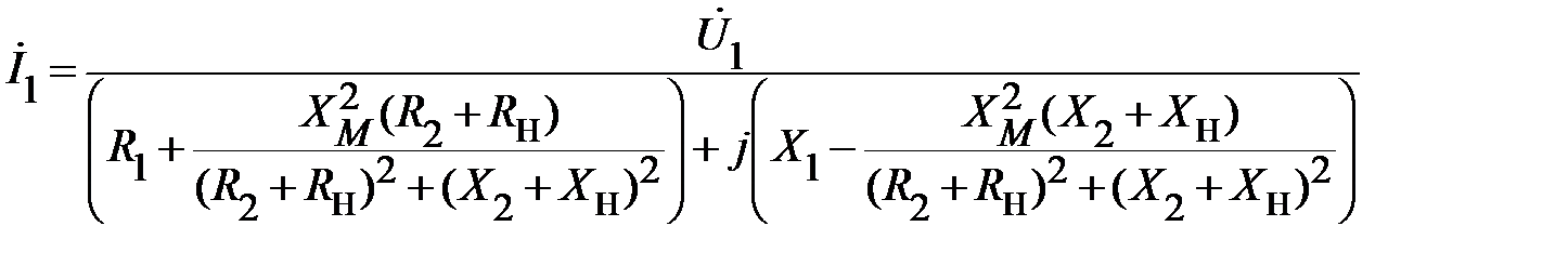
После подстановки значения
в первое уравнение трансформатора получается выражение первичного тока:
.
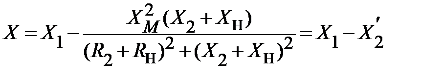
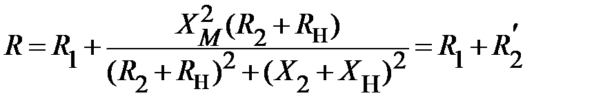
Знаменатель этого выражения представляет собой результирующее полное сопротивление цепи, эквивалентной трансформатору.
Результирующее активное сопротивление образует сумма активного сопротивления первичной цепи и сопротивления, вносимого вторичной цепью:
.
Результирующее реактивное сопротивление образует разность реактивного сопротивления первичной цепи и сопротивления, вносимого вторичной цепью:
.
Схема двух контуров с индуктивной связью может быть заменена эквивалентной схемой без индуктивной связи.
|
Для приведенной Т - образной схемы система уравнений по второму закону Кирхгофа для двух контуров в комплексной форме будет иметь вид:
;
.
В случае, когда
,то разность
т.е. отрицательна, что эквивалентно емкости (повышающий напряжение трансформатор). При
, разность
становится отрицательной (понижающий напряжение трансформатор).
Дата добавления: 2015-08-11; просмотров: 797;
