При параллельном соединении катушек их напряжение одинаково.
|
| L1 |
| L2 |
| R2 |
| R1 |
| M |
|
|
|
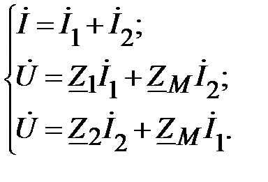
При выбранных направлениях токов и напряжения, запишем следующую систему уравнений:

Здесь
;
;
.
В этих уравнениях комплексные напряжения вводятся со знаком плюс, так как одинаково ориентированы относительно одноименных зажимов (согласное включение обмоток).
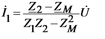
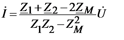
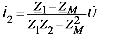
Решая систему относительно токов, получим:
;
;
.
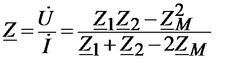
Тогда, входное комплексное сопротивление будет равно:
. 
При отсутствии магнитной связи, имеем знакомое соотношение:
.
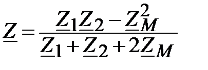
При встречном соединении катушек индуктивности, комплексные напряжения
и
войдут в систему уравнений со знаком минус и тогда входное сопротивление цепи примет вид:
.
Дата добавления: 2015-08-11; просмотров: 1218;
