Резонанс напряжений. R C L u i Рассмотрим последовательный колебательный контур.Полное сопротивление последовательной
|
|
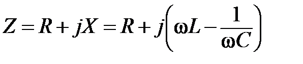
Рассмотрим последовательный колебательный контур.Полное сопротивление последовательной цепи:
.
|
Условие резонанса:
, при этом ток совпадает по фазе с напряжением, угол сдвига фаз
.
| В этом случае значения противоположных по фазе напряжений на индуктивности и емкости будут равны, а вектор приложенного к цепи напряжения будет совпадать с вектором падения напряжения на активном сопротивлении. |
|
При резонансе в последовательной цепи напряжения на индуктивности и емкости могут значительно превышать приложенное напряжение. Это имеет место, когда R → 0, а следовательно и полное сопротивление Z → 0. В этом случае, при любом конечном значении приложенного напряжения, ток I → ∞. Поэтому бесконечно велики могут быть напряжения на индуктивности и емкости.
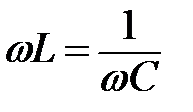
Превышение напряжения на реактивных элементах цепи над напряжением на зажимах цепи имеет место, если
.
Так как
, то оба этих условия сводятся к одному:
. Эта величина имеет размерность сопротивления и называется характеристическим или волновым сопротивлением контура.
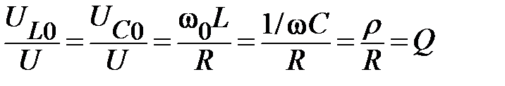
Кратность перенапряжения на реактивном элементе, находят из отношений:
.
Эта величина называется добротностью резонансного контура.
Величину, обратную добротности
, называют затуханием контура.
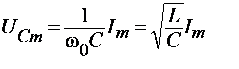
Рассмотрим энергетические процессы в последовательном контуре при резонансе. Пусть имеем ток в контуре
.
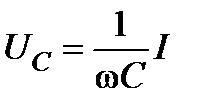
Напряжение на емкости
.
Но
, тогда
.
Суммарная электромагнитная энергия может быть записана в виде:
.
Таким образом, при резонансе сумма энергий магнитного и электрического полей с течением времени не изменяется.
Дата добавления: 2015-08-11; просмотров: 858;

.