Установившийся режим в цепи с последовательным соединением активного сопротивления, индуктивности и емкости
| |
В соответствии с законом Кирхгофа в такой схеме приложенное напряжение распределяется между тремя элементами, т.е.
.
Пусть
(т.е.
). Тогда
. Для входного напряжения получим:
.
Приведенное выражение справедливо для любых значений ωt, в том числе для
и
.
Значение
дает равенство:
.
Значение
дает равенство:
.
Возведя каждое из полученных выражений в квадрат и складывая, их правые и левые части, получим:
.
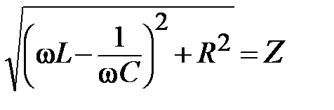
Откуда
.
Здесь
– полное сопротивление последовательной цепи;
– реактивное сопротивление цепи.
Поделив первое выражение на второе, получим:
.
Откуда угол фазного сдвига
, и лежит в пределах:
.
| Построим диаграмму векторов, равных по величине действующим значениям напряжения и тока, для φ > 0.
Направим вектор тока I вдоль горизонтальной оси. Вектор напряжения на активном сопротивлении совпадает по фазе с вектором тока.
|
Напряжение на индуктивности опережает ток на
, следовательно, вектор индуктивного напряжения
отложим под углом
от конца вектора UR.
Емкостное напряжение и его вектор
противоположен по фазе вектору
. На диаграмме отложим его из конца вектора
в противоположную сторону. Замыкающий вектор и есть вектор приложенного напряжения U = ZI.
В результате сложения векторов получается прямоугольный треугольник напряжений с гипотенузой, равной полному напряжению U,катетом, равным активному напряжению
и катетом
,напряжение которого называется реактивным. На построенной диаграмме преобладает индуктивное напряжение и поэтому реактивное напряжение совпадает по фазе с индуктивным.
Следует отметить, что полученные выражения, связывающие амплитудные значения тока и напряжения, могут рассматриваться как аналог закона Ома для переменного тока. Закон Ома в таком виде справедлив только для максимальных и действующих значений переменного тока и напряжения, но не для мгновенных значений, так как мгновенные значения тока и напряжения не находятся в линейной зависимости.
| Если разделить все стороны треугольника напряжений на общий множитель I, получим подобный ему треугольник сопротивлений с гипотенузой Z и катетами R и X. Из прямоугольного треугольника следует:
, , .
|
Дата добавления: 2015-08-11; просмотров: 940;

совпадает по фазе с вектором тока.
,
,
.