Индексный метод анализа динамики денежных затрат на производство продукции и их факторов.
На общие затраты на производство продукции влияет ряд факторов, выступающих в роли сомножителей: изменение средней себестоимости единицы продукции, изменение в структуре выпускаемой продукции, отпускных цен.
Сопоставляя показатели средних затрат на 1 рубль товарной продукции в разные периоды, исчисляют индекс затрат на 1 рубль товарной продукции переменного состава:
Данный индекс отражает изменение затрат на 1 рубль товарной продукции (себестоимости) под влиянием изменения себестоимости, структуры и цен.
Влияние на уровень затрат на 1 рубль товарной продукции изменения объема и состава всей продукции определяется факторным индексом:

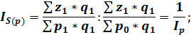
Влияние изменения себестоимости единицы продукции на динамику затрат на 1 рубль продукции характеризуется факторным индексом:

Влияние изменения отпускной цены на исследуемый показатель определяется факторным индексом:

Влияние всех рассматриваемых факторов :
Разность между числителем и знаменателем в каждом из записанных выше индексов характеризует в абсолютном выражении снижение ( - ) или повышение ( + ) затрат на 1 рубль продукции за счет влияния соответствующих анализируемых факторов.
Для того чтобы оценить изменение общих затрат на производство всей продукции за счет анализируемых факторов, нужно определить влияние каждого фактора на изменение затрат на 1 рубль товарной продукций и умножить на стоимость фактически произведенной товарной продукции в действовавших в отчетном периоде оптовых ценах.
Дата добавления: 2015-08-11; просмотров: 1117;
