Формулы Крамера. Метод Крамера – способ решения систем линейных уравнений, у которых количество переменных равно количеству уравнений
Метод Крамера – способ решения систем линейных уравнений, у которых количество переменных равно количеству уравнений. Метод создан Габриэлем Крамером в 1751 году.
Решение систем линейных алгебраических уравнений методом Крамера.
Рассмотрим метод на примере системы трех линейных уравнений с тремя неизвестными.
Пусть
- определитель матрицы
системы уравнений

а
- определители матрицы
, полученные путем замены j-го столбца на столбец свободных членов
Тогда:
- если
то решение системы единственное в виде

- если
а хотя бы один из определителей переменных от нуля отличен, то система несовместна (решений нет);
- если
то система совместна и имеет бесконечное множество решений.
- если система линейных уравнений однородная, то есть
то она имеет по крайне мере одно тривиальное решение
при
. При нулевых свободных членах все определители
будут равны нулю, так как будут содержать столбец нулевых элементов. Следовательно, формулы

дадут 
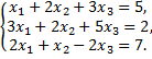
Рассмотрим пример. Решить систему методом Крамера.






Тогда

Проверим:



Дата добавления: 2015-08-11; просмотров: 1074;
