PID-алгоритм
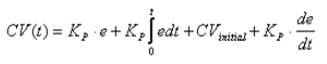
В установившемся режиме PID -контроллер воздействует на выходную величину так, чтобы свести ошибку регулирования (е) к нулю. Ошибка регулирования представляет собой разность между заданным значением SP (setpoint) и значением переменной процесса (фактическим значением) – PV (process variable). Принцип PID-регулятора основывается на уравнении, представляющем регулирующее воздействие CV(control variable) как сумму пропорциональной, интегральной и дифференциальной составляющих.

Где е – ошибка регулирования (разность между заданным значением и фактическим значением).
- коэффициент усиления
- регулирующее воздействие в зависимости от времени
- начальное значение регулирующего воздействия.
Дата добавления: 2015-08-11; просмотров: 1789;
