Векторно-координатный способ задания движения
Пусть закон движения задан радиус-вектором
или равносильной ему системой трех скалярных координат:
.
Допустим, в некоторый момент времени t положение точки m определяет
, а в следующий момент
соответственно
, тогда за время
радиус-вектор получит приращение
'
.
Вектор
' называется вектором перемещения точки за
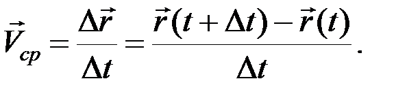
. Отношение вектора перемещения точки к соответствующему промежутку времени называется вектором средней скорости точки за промежуток времени
:

Из уравнения следует, что
– вектор, направленный по хорде
в сторону движения. Очевидно, чем меньше
, тем точнее
будет выражать скорость точки в момент времени
. Поэтому переходим в равенстве к пределу при Δt → 0.
– векторная производная.
Скорость точки равна векторной производной от радиус-вектора точки по времени и направлена по касательной к ее траектории в сторону движения:

или
,
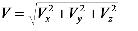
где
– проекции вектора скорости на координатные оси.
| При этом |
|
Складывая составляющие скорости, пролучим
.
Таким образом, если движение точки задано системой уравнений (1), можно найти величину и направление скорости.
Дата добавления: 2015-08-08; просмотров: 1527;
