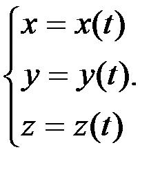
Векторно-координатный способ задания движения. Пусть движение точки m задано уравнением или системой уравнений
Пусть движение точки m задано уравнением
или системой уравнений 
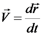
Если в момент времени t точка m имеет скорость
, то в следующий момент
ее скорость –
.
Тогда
.
Перенесем вектор
из точки m' в точку m
и построим параллелограмм. Тогда
будет его стороной. Отношение приращения
к промежутку времени
называется средним ускорением точки m за время
:
.
Очевидно, что вектор
направлен по вектору
. Ускорением точки в данный момент времени t называется предел, к которому стремится вектор среднего ускорения при
:
.
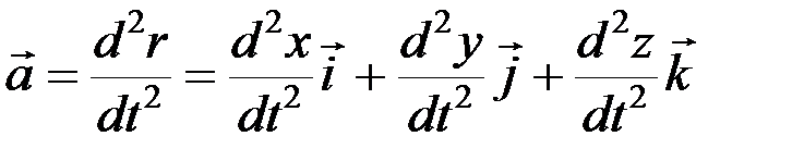
Ускорение точки равно производной от вектора ее скорости по времени. Вспомнив, что
, получим
.
Чтобы найти величину и направление вектора ускорения аналитически, представим радиус-вектор через его проекции:
.
Тогда
или
.
Сравнивая эти равенства, получим:
Дата добавления: 2015-08-08; просмотров: 1601;
