Условия равновесия плоской системы сил
Теорема. Для равновесия произвольной плоской системы сил необходимо и достаточно, чтобы главный вектор и главный момент этой системы были равны нулю:
,
.
Данная теорема имеет три формы.
Первая форма уравнений равновесия.
Теорема.Для равновесия произвольной плоской системы необходимо и достаточно, чтобы сумма проекций всех сил на каждую из двух выбранных координатных осей равнялась нулю и чтобы сумма моментов всех сил системы относительно любой точки плоскости также равнялась нулю.
Т.к.
, а
,
,
то уравнения равновесия будут иметь вид:
.
Вторая форма уравнений равновесия.
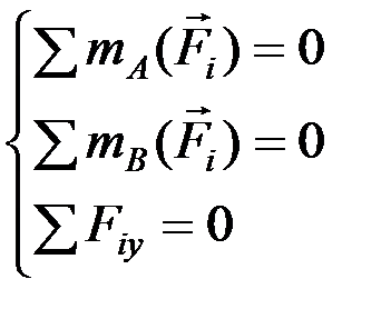
Теорема.Для равновесия произвольной плоской системы сил необходимо и достаточно, чтобы сумма моментов всех сил относительно двух произвольных точек равнялась нулю и чтобы сумма проекций всех сил на произвольную ось, не перпендикулярную прямой, соединяющей эти точки, равнялась нулю:
.
Третья форма уравнений равновесия.
Теорема. Для равновесия произвольной плоскости системы сил необходимо и достаточно, чтобы суммы моментов всех сил системы относительно каждого из трёх произвольных, но не лежащих на одной прямой центров равнялись нулю.
Доказательство:
а) необходимость: это условие очевидно, т. к. если есть равновесие, то сумма моментов всех сил относительно всякого центра равна нулю;
б) достаточность: возьмём три точки A, B, C, не лежащие на одной прямой. Пусть относительно них выполняются равенства:
.
Докажем, что система сил находится в равновесии.
Докажем обратное, что условия выполнены, а система сил не находится в равновесии.
Выберем точку A за центр приведения и приведем все силы к центру: получим равнодействующую
, приложенную к точке A. Т.к. главный момент
, то пары не будет.
Если окажется, что R = 0, то теорема доказана (
).
Пусть
, тогда линия действия
должна пройти через точку B, чтобы выполнялось условие
, а по теореме Вариньона,
. Следовательно,
, что может быть при
только в случае, если
проходит через точку B. Таким образом,
проходит через точку A и точку B. По условию,
. Т.к.
, линия действия
должна пройти через точку C, что невозможно, следовательно, R = 0.
Дата добавления: 2015-08-08; просмотров: 1121;
