Сила упругости. В законе Ньютона сила есть физическая величина, характеризующая действие одного тела на другое и сообщающая последнему ускорение
В законе Ньютона сила есть физическая величина, характеризующая действие одного тела на другое и сообщающая последнему ускорение. Сила может также приводить к изменению формы и объема тела. В этом случае происходит деформация тела. Что происходит в действительности при приложении силы — ускорение тела или его деформация — определяется самими свойствами тела. Более того, свойства тела определяют и характер деформации, которая может быть упругой и неупругой. Неупругая деформация характеризуется тем, что она не исчезает после снятия нагрузки. С неупругой деформацией связано изменение внутренней энергии тела. Напротив, если после снятия нагрузки деформация исчезает и тело возвращается к своей прежней форме, то деформация является упругой. Сила, возвращающая тело к своей прежней форме, — упругая сила. Как показывает опыт, упругая сила пропорциональна созданной в теле деформации. Соответствующий закон называется законом Гука:
F=-k x, (1.62)
где k— коэффициент пропорциональности, а x — величина деформации тела (см. рис.): x > 0 при растяжении тела, x < 0 — при сжатии.
Вычислим работу, совершаемую против упругой силы, при деформации одномерного стержня на dx:
(1.63)
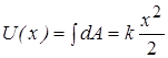
Эта работа идет на изменение взаимного расположения отдельных частей тела, т. е. на изменение его потенциальной энергии. Следовательно, зависимость потенциальной энергии стержня имеет вид:
. (1.64)
График зависимости U от x показан на рис.

Закон Гука. Упругая сила пропорциональна смещению пружины.
Потенциальная энергия упругого тела при одномерной деформации.
Дата добавления: 2015-08-08; просмотров: 858;
