Космические скорости.
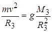
Определим скорость, которую необходимо иметь телу дли того, чтобы оно могло стать спутником Земли, т. е. первую космическую скорость. Величину этой скорости можно определить из условия равенства сил, действующих на тело при его вращении вокруг Земли. Сила притяжения должна быть уравновешена центробежной силой mv2/R. Таким образом,
(1.46)
откуда находим значение первой космической скорости
Подставляя численные значения величин, получаем v1 = 8 км/с.
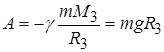
Вторая космическая скорость — это скорость, которую нужно сообщить телу для того, чтобы оно покинуло область земного притяжения. Для определения второй космической скорости следует вычислить работу, которую необходимо совершить против сил земного притяжения для удаления тела с поверхности Земли на бесконечность. Эта работа равна разности потенциальных энергий тела в начальном и в конечном положениях:
A = Uк ‑ Uн.
Потенциальная энергия тела в гравитационном поде Земли на ее поверхности согласно (1.41) имеет вид:

а на бесконечности равна нулю. Таким образом,
(1.47)
Величина этой потенциальной энергии определяет кинетическую энергию, которую должно иметь тело для того, чтобы быть в состоянии совершить указанную работу 
Отсюда вторая космическая скорость определяется выражением:
.
Ее численное значение приблизительно 11 км/с. Пусть перемещение происходит вдоль оси Z. При этом сила тяжести совершает работу
.
Согласно определению потенциальной энергии А = U1‑U2. Отсюда следует, что потенциальная энергия тела в поле силы тяжести Земли может быть записана в виде
U(z) = mgz + const, (1.48)
где постоянная связана с выбором начала отсчета энергии. Эту формулу можно получить и непосредственно из закона всемирного тяготения. Запишем его в виде
,
где z— высота тела с массой m над поверхностью Земли. При малых
,
, откуда находим U =U0 + mgz = U(R3) +mgz
Дата добавления: 2015-08-08; просмотров: 1041;
