Законы сохранения
Запишем уравнение (1.24) в виде
. (1.25)
Выражение (2.25) представляет собой уравнение движения частицы. Если его проинтегрировать, то можно найти траекторию частицы r = r(t, F). Однако часто это не является необходимым. Оказывается, уравнения Ньютона обладают тем свойством, что некоторые величины, характеризующие движение частицы, остаются неизменными во все время движения. О таких величинах принято говорить, что они сохраняются. Их также называют интегралами движения. Знание интегралов движения позволяет получить ряд важных следствий без фактического решения уравнений движения. Получим некоторые сохраняющиеся величины.
Перепишем уравнение (1.25) в виде
. (1.26)
Величина
называется импульсом тела. Внеся величину m под знак дифференциала в (1.26), закон Ньютона можно записать в форме:
. (1.27)
Физический смысл импульса становится очевидным, если уравнение (1.27) проинтегрировать на конечном интервале времени от 0 до t:
. (1.28)
Изменение импульса служит мерой величины силы, действующей на тело в течение конечного промежутка времени. Численно величина импульса
. (1.29)
Рассмотрим тело или систему тел в отсутствие внешних сил. Система тел, на которую не действуют внешние силы (или векторная сумма этих сил равна нулю), является замкнутой. В этом случае F=0; как видно из уравнений (1.26) или (1.27),
, т.е. величина , (1.30)
остается постоянной во все время движения. Полученный результат представляет собой закон сохранения импульса, который имеет место как для одного тела, так и для системы тел в отсутствие внешних сил.
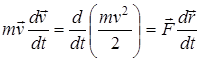
В отсутствие внешних сил сохраняется еще одна скалярная величина. Если умножить уравнение (1.26) одновременно слева и справа на вектор скорости, в левой части окажется производная от полного дифференциала, и уравнение примет вид
. (1.31)
Пусть F = 0. Тогда постоянной во время движения является величина
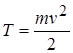
. (1.32)
Она называется кинетической энергией частицы. При отсутствии внешних сил, т. е. в замкнутой системе, сохраняется кинетическая энергия как в случае одного тела, так и для системы тел. Когда на частицу действует внешняя сила F, кинетическая энергия не остается постоянной. В этом случае согласно (1.31) приращение кинетической энергии за время dt равно скалярному произведению
. Величина dA =
— это работа, совершаемая силой F на пути dr .
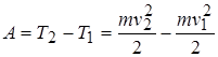
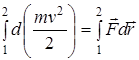
Проинтегрируем соотношение (1. 31) вдоль некоторой траектории от точки 1 до точки 2:
.
Левая часть представляет собой приращение кинетической энергии на пути между точками 1 и 2, а величина
(1.33)
есть работа силы на пути 1—2.
Таким образом, работа сил, действующих на частицу, расходуется на изменение ее кинетической энергии:
. (1.34)
Соответственно, изменение кинетической энергии частицы служит мерой работы, произведенной над частицей.
Если частица в каждой точке пространства подвержена действию других тел, то говорят, что эта частица находится в поле сил. В случае силового поля действие силы распределено по всему пространству. Рассмотрим такое поле сил, действие которого на частицу зависит только от положения частицы в пространстве. Такое поле можно описать с помощью некоторой скалярной функции φ(r), зависящей, а соответствии со сказанным, только от координат. Это случай специального, но часто встречаемого в природе потенциального поля, а функция φ(r), характеризующая поле, является потенциалом поля. Сила связана с потенциалом в каждой точке соотношением
, (1.35)
где постоянная определяется свойствами частицы, взаимодействующей с полем сил.
Подставим соотношение (1.35) в (1.33) и опять проинтегрируем вдоль траектории от точки 1 до точки 2. Получим
T2 - T1 +const(φ2 - φ1) = О,
т.е. величина T2 +const·φ2 = T1 +const·φ1
остается постоянной при движении вдоль траектории. Таким образом, для частицы в потенциальном поле внешней силы сохраняется, т. е. является интегралом движения, величина
E = T+const·φ(r). (1.36)
Величина U = const·φ(r) называется потенциальной энергией частицы в поле φ(r), а выражение (1.36) представляет собой полную механическую энергию частицы
E = T + U. (1.37)
Дата добавления: 2015-08-08; просмотров: 739;
