Понятие обратного кода
Обратным кодом числа в системе с основанием р называется число в этой системе, получаемое заменой цифры, символа в каждом разряде числа на его дополнение до максимальной цифры в системе (то есть до р – 1).
Дополнительный код = обратный код + единица в младшем разряде.
Пример.
1. 10011
двоичное число,
01100
обратный код этого двоичного числа,
01101
дополнительный код этого двоичного числа;
2. 457
восьмеричное число,
321
дополнительный код;
3. А9
шестнадцатеричное число,
57
дополнительный код.
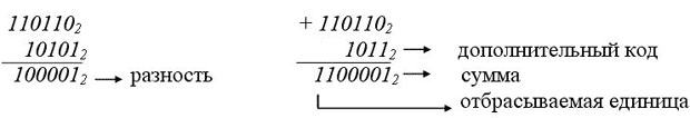
Вычитание с помощью дополнительного кода: найти дополнительный код вычитаемого такой же разрядности, как и уменьшаемое, и сложить этот код с уменьшаемым. Результатом вычитания будет полученная сумма без учета старшего разряда (отбрасывается).
Пример.
Выполним вычитание напрямую и через сложение (через дополнительный код):

Дата добавления: 2015-08-08; просмотров: 578;
