Мощность в цепи переменного тока. Найдем мощность, выделяемую в цепи переменного тока
Найдем мощность, выделяемую в цепи переменного тока. Мгновенное значение мощности равно произведению мгновенных значений напряжения и силы тока:
. (12.19)
Воспользовавшись формулой
,
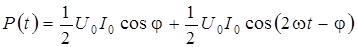
Выражению (11.19) можно придать вид
. (12.20)
Практический интерес представляет среднее по времени значение P(t), которое обозначим просто P. Так как среднее значение cos(2ωt– φ) равно нулю,
. (12.21)
Из (12.20) следует, что мгновенная мощность колеблется около среднего значения с частотой, в два раза превышающей частоту тока (рис. 12.4).
Множитель выражения (12.21)
|

называют коэффициентом мощности.
Выражение (12.21), записанное через действующие значения силы тока и напряжения, имеет вид
,
где
,
- действующие значения силы тока и напряжения. При эксплуатации электрических цепей стремятся что бы cosφбыл как можно большим. При малом cosφ, для выделения в цепи необходимой мощности, нужно пропустить ток большой силы, что приводит к возрастанию потерь в подводящих проводах.
Приложение
Дата добавления: 2015-08-08; просмотров: 719;
