Затухающие колебания. Затухающие колебания наблюдаются в замкнутой механической системе (Fвнеш = 0), в которой имеются потери энергии на преодоление сил сопротивления
Затухающие колебания наблюдаются в замкнутой механической системе (Fвнеш = 0), в которой имеются потери энергии на преодоление сил сопротивления, или в закрытом колебательном контуре (Uвнеш = 0), в котором наличие сопротивления R приводит к потере энергии колебаний из-за нагревания проводников. В первом приближении можно считать, что при небольших скоростях движения, силы, вызывающие затухание механических колебаний, пропорциональны величине скорости. Будем называть эти силы, независимо от их происхождения, силами трения,или сопротивления:
,
где r– коэффициент сопротивления. Знак минус указывает, что сила трения всегда направлена в сторону, противоположную направлению движения.
Запишем второй закон Ньютона для затухающих колебаний тела вдоль оси ОХ:
max = - kx- rvx .
Заменив
и перенеся все члены в левую часть уравнения, получим

(12.1)
где
- коэффициент затухания.
Если β ≤ ω0, то в результате решения дифференциального уравнения (12.1) получается следующая зависимость смещения от времени:
, (12.2)
где е – основание натуральных логарифмов.
Выражение
(12.3)
называют амплитудой затухающих колебаний.
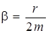
Величину
(12.4)
называют собственной циклической частотой затухающих колебаний.
Затухающие колебания представляют собой непериодические колебания, так как в них никогда не повторяются, например, максимальные значения смещения, скорости и ускорения. Поэтому называть ωз циклической частотой можно лишь условно. По этой же причине
, (12.5)
обычно называемую периодом затухающих колебаний, правильнее называть условным периодом затухающих колебаний.
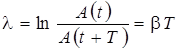
Отношение амплитуд для моментов времени, отличающихся на период, равно
. (12.6)
Это отношение называют декрементом затухания, а его логарифм – логарифмическим декрементом затухания:
. (12.7)
На рис.12.1 дан график функции (12.2).
|
Дата добавления: 2015-08-08; просмотров: 798;
