Запирание транзистора (режим отсечки)
Режим отсечки имеет место в том случае, когда оба p-n-перехода (эмиттерный и коллекторный) закрыты. Для этого на вход подается постоянное отрицательное напряжение
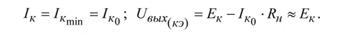
( n-p-n транзистор). Ток коллектора 1К, протекающий через RH, практически равен нулю, а напряжение на коллекторе Uк равно напряжению источника питания Ек, что соответствует закрытому состоянию ключа.
В цепи коллектора будет протекать минимальный обратный ток IКО. В этом случае ток базы будет равен току коллектора Iб = +IКО, а рабочая точка на нагрузочной прямой будет находиться в точке А(рис.12)..
Эта точка характеризуется минимальным коллекторным током и максимальным напряжением на коллекторе:
(11)
В запертом состоянии транзистор может находиться неограниченно долго. Вывести его из этого устойчивого состояния можно только за счет внешних воздействий, например путем подачи на вход запускающего импульса положительной полярности.
11.3 Режим отпирания (насыщения)
Режим насыщения - второе устойчивое состояние транзистора. Насыщение наступает в том случае, когда оба p-n-перехода открыты.
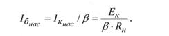
При некотором значении тока базы Iб = Iбнас коллекторный ток достигает максимальной (для данных Ек и RH) величины Iкmax - точка Б(рис.12)..
Iкmax получил название тока насыщения и обозначается как Iкнас.
(12)
Току насыщения коллектора соответствует величина насыщающего тока базы, равная
(13)
Из графика видно, что в области насыщения (вблизи точки Б) напряжение между коллектором и эмиттером, как и напряжения между любыми другими выводами транзистора, близки к нулю.
Зависимость тока коллектора 1К от тока базы IБ (рис.13)

Рис.13 Зависимость тока коллектора 1к от тока базы IБ
1-область запирания;
2- активный режим;
3- область насыщения
Характеристика IK = f(IБ) имеет резкие изломы на границах области запирания и насыщения. Это способствует более четкой работе переключающего устройства.
Дата добавления: 2015-08-08; просмотров: 5421;
