Системы малосигнальных параметров БТ
Эти параметры используются при расчете усилительных устройств.
Под малым сигналом понимают такое, например синусоидальное напряжение сигнала
Uс = sin(wt), величина амплитуды напряжения которого значительно меньше постоянных напряжений смещения на электродах транзистора.
В пределах изменения напряжения малого сигнала статические характеристики транзистора считаются линейными.
Для анализа работы транзистора пользуются его эквивалентными схемами. Транзистор в них рассматривается как устройство, имеющее два входных и два выходных зажима и обладающие способностью усиливать мощность подводимых к нему колебаний.
В электротехнике такое устройство получило название активного четырехполюсника.

Рис.7 Представление транзистора активным четырехполюсником.
Из курса электротехники известно, что линейный четырехполюсников может быть описан системой 2-х линейных уравнений параметров.
Наиболее удобными для рассмотрения транзисторных схем являются:
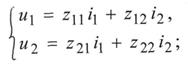
1. Система z-параметров (параметры z имеют размерности сопротивлений)
(7)
2. Система y-параметров, или параметров короткого замыкания (параметры y имеют размерности проводимостей)
(8)
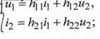
3. Система h-параметров, смешанная система параметров, получившая наибольшее распространенеие
(9)

При практическом определении h-параметров могут быть использованы действующие и максимальные значения входных токов и напряжений или их приращения.
Величины h-параметров зависят от схемы включения, поэтому в их обозначение вводится индекс, показывающий, для какой схемы они определены, например h11б, h11э, h11к,
В справочниках указываются преимущественно значения параметров в типовой рабочей точке. В других точках статических характеристик h-параметры можно определить из семейств входных и выходных характеристик транзистора.
Для этого значения токов и напряжений представляют в виде конечных приращений

- определяется по входной статической характеристике

- определяется совместно по входной и выходной статическим характеристикам

- определяется по выходной статической характеристике
Дата добавления: 2015-08-08; просмотров: 842;
