Задание 14. «Липиды и их функции».
Запишите пропущенные слова:
1. Энергетическая функция липидов проявляется в том, что (_).
2. Структурная функция липидов проявляется в том, что (_).
3. Запасающая функция липидов проявляется в том, что (_).
4. Теплоизоляционная функция липидов проявляется в том, что (_).
5. Функция липидов как источника метаболической воды проявляется в том, что (_).
6. Регуляторная функция липидов проявляется в том, что (_).
7. Функция липидов, как кофакторов ферментов проявляется в том, что (_).
Задание 15. «Углеводы и липиды»
Запишите номера тестов, против каждого – правильные варианты ответа
**Тест 1. К моносахаридам относятся:
1. Крахмал. 5. Свекловичный сахар (сахароза).
2. Гликоген. 6. Мальтоза.
3. Глюкоза. 7. Молочный сахар (лактоза).
4. Дезоксирибоза. 8. Рибоза.
**Тест 2. К полисахаридам относятся:
1. Крахмал. 5. Рибоза.
2. Гликоген. 6. Мальтоза.
3. Глюкоза. 7. Молочный сахар (лактоза).
4. Дезоксирибоза. 8. Целлюлоза.
**Тест 3. К дисахаридам относятся:
1. Крахмал. 5. Хитин.
2. Свекловичный сахар (сахароза). 6. Мальтоза (солодовый сахар).
3. Глюкоза. 7. Молочный сахар (лактоза).
4. Дезоксирибоза. 8. Целлюлоза.
Тест 4. В состав молекулы ДНК входят остатки:
1. Рибозы.
2. Дезоксирибозы.
3. Глюкозы.
4. Фруктозы.
Тест 5. Молекула крахмала состоит:
1. Из остатков рибозы.
2. Из остатков a-глюкозы.
3. Из остатков и b-глюкозы.
4. Из остатков дезоксирибозы.
**Тест 6. Углеводы в организме выполняют функции:
1. Структурную. 5. Обеспечивают взаимодействие клеток, узнавание.
2. Энергетическую. 6. Источник метаболической воды.
3. Каталитическую. 7. Запасающую.
4. Многие являются гормонами.
Тест 7. При полном сгорании 1 г. вещества выделилось 38,9 кДж энергии. Это вещество относится:
1. К углеводам.
2. К жирам.
3. Или к углеводам, или к липидам.
4. К белкам.
Тест 8. Основу клеточных мембран образуют:
1. Жиры.
2. Фосфолипиды.
3. Воска.
4. Липиды.
Тест 9. Утверждение: "Фосфолипиды — сложные эфиры глицерина (глицерола) и жирных кислот":
1. Верно.
2. Ошибочно.
**Тест 10. Липиды выполняют в организме следующие функции:
1. Структурную. 5. Некоторые являются ферментами.
2. Энергетическую. 6. Источник метаболической воды
3. Теплоизолирующую. 7. Запасающую.
4. Некоторые являются гормонами. 8. Витамины A, D, E, K — жирорастворимые.
**Тест 11. Молекула жира состоит из остатков:
1. Аминокислот.
2. Нуклеотидов.
3. Глицерина.
4. Жирных кислот.
Тест 12. Гликопротеины — это комплекс:
1. Белков и углеводов.
2. Нуклеотидов и белков.
3. Глицерина и жирных кислот.
4. Углеводов и липидов.
Тест 13. Фосфолипиды — это комплекс:
1. Белков и углеводов.
2. Нуклеотидов и белков.
3. Глицерина и жирных кислот.
4. Липидов и остатков фосфорной кислоты.
**Тест 14. К пентозам относятся:
1. Глюкоза.
2. Фруктоза.
3. Рибоза.
4. Дезоксирибоза.
Задание 16. «Строение молекулы ДНК»
Рассмотрите рисунок и ответьте на вопросы:
|
- В каких органоидах клетки находится ДНК?
- Каковы функции ДНК?
- Что обозначено на рисунке цифрами 1 — 6?
- Какие пуриновые и пиримидиновые основания входят в состав ДНК?
- Каков диаметр молекулы ДНК и каково расстояние между двумя нуклеотидами одной цепи?
- Как нуклеотиды ДНК соединены в одну цепь?
- Как цепи ДНК соединены друг с другом?
- Чем образованы "края" молекулы ДНК?
Задание 17. «Репликация ДНК»
Рассмотрите рисунок и ответьте на вопросы:
1.
|
2. Какой фермент отвечает за образование комплементарной цепи ДНК?
3. Что является матрицей при удвоении ДНК?
4. В молекуле ДНК миллион нуклеотидов. Сколько нуклеотидов потребуется при репликации (удвоении) ДНК?
5. Что необходимо для репликации ДНК?
6. Фрагмент ДНК имеет следующий состав нуклеотидов:
АТГЦЦГТАЦ
ТАЦГГЦАЦГ
Напишите состав нуклеотидов дочерних цепей, образовавшихся в процессе репликации данного фрагмента. Укажите старые и новые нуклеотидные цепи.
Задание 18. «Репликация ДНК»
Рассмотрите рисунок и ответьте на вопросы:
|
1. Как называется способ удвоения ДНК, при котором одна цепь нуклеотидов остается неизменной, а вторая достраивается по принципу комплементарности?
2. Как называется цепь нуклеотидов ДНК, на которой происходит непрерывное образование комплементарной цепи ДНК?
3. Как называются фрагменты ДНК, образующиеся на другой цепи нуклеотидов молекулы ДНК?
4. Как называются ферменты, «сшивающие» фрагменты Оказаки?
5. В каком направлении может двигаться фермент ДНК-полимераза?
6. В каком направлении происходит удлинение образующейся цепи нуклеотидов?
7. Одна из цепей фрагмента ДНК имеет следующую последовательность нуклеотидов: 3'…АТТГГЦАТГ…5' Напишите последовательность комплементарной цепи, укажите 3'- и 5'- концы.
8. Фрагмент ДНК содержит 2 000 000 нуклеотидов. В одной цепи нуклеотидов количество А-нуклеотидов 30%, Г-20%, Ц-нуклеотидов 40%. Сколько каких нуклеотидов потребуется при репликации данного фрагмента?
Задание 19. «ДНК»
Запишите номера тестов, против каждого – правильные варианты ответа
**Тест 1. ДНК в клетках эукариот содержится:
1. В цитоплазме. 5. В пластидах.
2. В ядре. 6. В комплексе Гольджи.
3. В рибосомах.
4. В митохондриях.
Тест 2. Размеры молекулы ДНК у человека:
1. Ширина 20 мкм, длина до 8 см.
2. Ширина 2 мкм, длина до 8 см.
3. Ширина 20нм, длина до 8 см.
4. Ширина 2 нм, длина до 8 см.
**Тест 3. В состав молекулы ДНК входят пуриновые основания:
1. Аденин.
2. Гуанин.
3. Тимин.
4. Цитозин.
Тест 4. Фрагмент ДНК содержит 30000 нуклеотидов. Для удвоения фрагмента потребуется свободных нуклеотидов:
1. 60000.
2. 45000.
3. 30000.
4. 15000.
Тест 5. Нуклеотиды ДНК соединены в одну цепь:
1. Через остаток фосфорной кислоты одного нуклеотида и 3' атом дезоксирибозы другого.
2. Через остаток фосфорной кислоты одного нуклеотида и азотистое основание другого.
3. Через остатки фосфорной кислоты соседних нуклеотидов.
4. Через дезоксирибозы соседних нуклеотидов.
Тест 6. Фрагмент ДНК содержит 30000 А-нуклеотидов. Для удвоения фрагмента потребуется:
1. А — 60000, Т — 60000.
2. А — 30000, Т — 30000.
3. А — 15000, Т — 15000.
4. Данных для ответа недостаточно.
Тест 7. Фрагмент ДНК содержит 30000 А-нуклеотидов и 40000 Ц-нуклеотидов. В данном фрагменте Т- и Г-нуклеотидов:
1. Т — 40000, Г — 30000.
2. Т — 30000, Г — 40000.
3. Т — 60000, Г — 80000.
4. Данных для ответа недостаточно.
**Тест 8. Предложили модель строения молекулы ДНК в 1953 году:
1. Ф.Крик.
2. Г.Мендель.
3. Т.Морган.
4. Д.Уотсон.
Тест 9. Функции ДНК в клетке:
1. Один из основных источников энергии.
2. Принимает непосредственное участие в синтезе белков.
3. Обеспечивает синтез углеводов и липидов в клетке.
4. Участвует в хранении и передаче наследственной информации.
**Тест 10. Верные суждения:
1. Цепи нуклеотидов в молекуле ДНК антипараллельны.
2. Между А- и Т-нуклеотидами 2 водородные связи, между Г- и Ц-нуклеотидами 3 водородные связи.
3. А- и Т-нуклеотиды относятся к пиримидиновым нуклеотидам.
4. В состав нуклеотидов ДНК входит сахар рибоза.
Задание 20. «Строение молекулы РНК»
Рассмотрите рисунок и ответьте на вопросы:
|
1. Каковы функции РНК?
2. Где образуются РНК?
3. Что обозначено на рисунке цифрами 1 — 6?
4. Какие пуриновые и пиримидиновые основания входят в состав РНК?
5. Какие виды РНК находятся в клетке?
6. Как нуклеотиды РНК соединены в одну цепь?
7. Каковы размеры разных видов РНК?
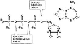
Задание 21. «Строение молекулы АТФ»
Рассмотрите рисунок и ответьте на вопросы:
- Каковы функции АТФ?
- Напишите полное название АТФ.
- Какое основание и какой сахар входят в состав АТФ?
- Сколько энергии выделяется при гидролизе двух макроэргических связей в АТФ?
Задание 22. «РНК, АТФ»
Запишите номера суждений, против верных поставьте +, против ошибочных –
- Молекула РНК представляет собой неразветвленную полинуклеотидную цепь.
- В состав нуклеотидов РНК входит сахар рибоза.
- Азотистые основания в РНК представлены аденином, гуанином, тимином и цитозином.
- Самые крупные молекулы РНК содержатся в рибосомах, рРНК.
- Нуклеотиды РНК способны образовывать водородные связи между собой, но это внутрицепочечные, а не межцепочечные соединения комплементарных нуклеотидов.
- Цепи РНК значительно длиннее молекул ДНК.
- РНК обеспечивают синтез белков в клетке.
- Молекула РНК состоит из двух комплементарно связанных и антипараллельно направленных полинуклеотидных цепей.
- Молекулы РНК образуются в результате самоудвоения, репликации.
- АТФ представляет собой нуклеотид, образованный остатками азотистого основания (аденина), сахара (дезоксирибозы) и фосфорной кислоты.
- При гидролизе макроэргических связей двух моль АТФ до АМФ выделяется около 160 кДж энергии.
Задание 23. Зачет «Химические вещества клетки»
Запишите номера вопросов и дайте ответ одним предложением:
- Какие элементы называются биогенными?
- Сколько известно биогенных элементов?
- Перечислите макроэлементы 1 группы.
- Перечислите макроэлементы 2 группы.
- Как называется взаимодействие молекул растворенных веществ с молекулами воды?
- Какие связи возникают между молекулами воды?
- Как называются вещества, растворимые и нерастворимые в воде?
- Перечислите функции воды.
- При какой температуре вода имеет наибольшую плотность?
- Какой заряд на кислороде и атомах водорода в молекуле воды?
- Запишите пример буферной системы.
- Где больше калия и натрия, снаружи мембраны или под мембраной?
13. На какие группы делятся углеводы?
14. Напишите формулы важнейших пентоз.
15. Какие вещества относятся к полисахаридам?
16. Что является мономером гликогена, клетчатки?
17. Какие функции выполняют углеводы?
18. Что представляют из себя жиры?
19. Какие липиды входят в состав мембран?
20. Перечислите жирорастворимые витамины.
21. Перечислите 5 важнейших функций жиров.
22. Запишите общую формулу аминокислоты.
23. Запишите структурную формулу дипептида.
24. Как называется связь между двумя аминокислотами?
25. Какие аминокислоты называются незаменимыми? Сколько их?
26. Какие белки называются полноценными?
27. Чем представлена первичная структура белков?
28. Чем представлена и какими связями удерживается вторичная структура белка?
29. Какими связями удерживается третичная структура белков?
30. Сколько энергии выделяется при расщеплении 1 г белков, углеводов, липидов?
31. Перечислите функции белков.
32. Каковы основные свойства ферментов?
33. Из остатков каких веществ состоит нуклеотид ДНК?
34. Запишите структурную формулу нуклеотида ДНК.
35. Запишите структурную формулу нуклеотида РНК.
36. Запишите структурную формулу АТФ.
37. Какие азотистые основания входят в состав нуклеотидов ДНК?
38. Какие из азотистых оснований пуриновые, какие пиримидиновые?
39. Как нуклеотиды ДНК соединены в одну цепь?
40. Сколько водородных связей между комплементарными азотистыми основаниями?
41. Что такое «принцип комплементарности»?
42. Какие функции выполняют ДНК?
43. Как нуклеотиды РНК соединяются в полинуклеотидную цепь?
44. Какие азотистые основания входят в состав нуклеотидов РНК?
45. Какие функции выполняют РНК?
46. Сколько энергии в макроэргических связях АТФ?
Задание 24. Важнейшие термины и понятия: «Химические вещества клетки»
Дайте определение терминам или раскройте понятия (одним предложением, подчеркнув важнейшие особенности):
1. Макроэлементы. 2. Буферная система. 3. Гидрофильные вещества. 4. Гидратация. 5. Биогенные элементы. 6. α-аминокислоты. 7. Простые белки. 8. Сложные белки. 9. Полноценные белки. 10. Незаменимые аминокислоты. 11. Амфотерность аминокислот. 12. Пептидная связь. 13. Первичная, вторичная, третичная и четвертичная структура белка. 14. Денатурация, ренатурация, деградация белка. 15. Специфичность ферментов. 16. Углеводы. 17. Моносахариды. 18. Олигосахариды. 19. Дисахариды. 20. Полисахариды. 21. Гликолипиды. 22. Гликопротеины. 23. 1-4 - гликозидная связь. 24. Крахмал. 25. Целлюлоза. 26. Гликоген. 27. Жиры. 28. Фосфолипиды. 29. Правила Чаргаффа. 30. Нуклеотид ДНК. 31. Комплементарность. 32. Антипараллельность. 33. Репликация. 34. Фрагменты Оказаки. 35. Лидирующая цепь.
Ответы:
Задание 1.1. 1590 году. 2. Описал небольшие ячейки в срезах пробки и назвал их клетками. 3. Микроорганизмов. 4. Орхидей ядра. 5. Основные положения клеточной теории. 6. Из межклеточного вещества. 7. Новые клетки образуются при делении исходных, материнских клеток. 8. Клетка. 9. Общий план строения. 10. Путем деления.
Задание 2. 1. 24 элемента, чьи функции в живых организмах известны. 2. С, Н, О, N. 3. К, Na, Са, Mg, S, P, Cl, Fe. 4. На кислороде небольшой минус, на атомах водорода – небольшой положительный заряд. 5. Гидратация. 6. Водородные. 7. Растворимые – гидрофильные, нерастворимые – гидрофобные. 8. Растворитель; метаболит; участие в транспорте веществ; участие в реакциях гидролиза; формировании структур молекул, растворимых в воде; участие в терморегуляции и др. 9. +4˚С. 10. Na+ снаружи больше в 9 раз чем под мембраной; К+ под мембраной в 30 раз больше чем снаружи. Отвечают за возбудимость клеток.
Задание 3.1. На кислороде небольшой отрицательный, на атомах водорода – небольшой положительный заряд. 2. Четыре. 3. В ядре 11 протонов, электронов — 10, один электрон теряется с внешней орбиты. 4. Хлорид-ион имеет 17 протонов и 18 электронов (2, 8, 8) — заполняется внешняя орбита.
Задание 4.1. При понижении рН фосфатная буферная система связывает Н+, уменьшает кислотность. 2. При повышении рН угольная кислота диссоциирует: H2СO3 → НСО3- + Н+, рН понижается.
Задание 5.1. 1 – аминогруппа; 2 – радикал; 3 – карбоксильная группа; 4 – образование пептидной связи; 5 – пептидная связь. 2. Основные свойства обеспечивает аминогруппа, кислотные — карбоксильная группа. 3. Десять аминокислот. 4. Полноценные белки содержат все 10 видов незаменимых аминокислот.
Задание 6.1. 1 – первичная структура; 2 – вторичная структура; 3 – третичная структура; 4 – четвертичная структура. 2. Ковалентные, пептидные. 3. Водородные, ионное взаимодействие. 4. Водородные, ковалентные (S-S связи), ионное взаимодействие, гидрофобное взаимодействие.
Задание 7.1. Входят в состав клеточных мембран, стенок кровеносных сосудов, в состав хрящей, сухожилий. 2. Белки-рецепторы на медиаторы, гормоны и другие вещества встроены в мембраны клеток. Изменяя структуру, способны передавать сигнал в клетку. 3. Многие гормоны (поджелудочной железы, гипофиза) имеют белковую природу, регулируют различные процессы в организме. 4. Известно более 2 тыс. ферментов, катализирующих различные реакции. Ферменты имеют активный центр, специфичны, скорость катализа зависит от температуры, рН. 5. Многие белки транспортируют различные вещества через мембрану клеток, в цитоплазме клеток. Гемоглобин, например, транспортирует кислород и углекислый газ. 6. Актин и миозин обеспечивают сокращение миофибрилл мышц. Движение хромосом к полюсам клетки происходит за счет белков, образующих микротрубочки веретена деления. 7. При окислении 1г. белка до СО2, Н2О и NH3 выделяется 17,6 кДж энергии. 8. Альбумин белка в яйце — запасной строительный и энергетический материал, запас воды для развития куриного эмбриона. 9. Антитела и интерферон защищают организм от бактерий и вирусной инфекции.
Задание 8.1. 1 – аминокислоты, принимающие участие в образовании активного центра фермента; 2 – фермент-субстратный комплекс; 3 – взаимодействие активного центра и субстрата согласно гипотезе Фишера; 4 – взаимодействие активного центра и субстрата согласно гипотезе Кошланда. 2. Активный центр фермента. 3. Третичная или четвертичная. 4. Происходит денатурация и активный центр перестает работать нормально. 5. Активный центр может взаимодействовать только с определенным субстратом. 6. По гипотезе Фишера активный центр соответствует по форме молекулам субстрата (замок и ключ), по гипотезе Кошланда активный центр принимает форму субстрата только во время взаимодействия (перчатка и рука).
Задание 9. Тест 1: 2. **Тест 2: 1, 2, 3, 4, 6. Тест 3: 3. **Тест 4: 3. **Тест 5: 2. Тест 6: 4. Тест 7: 3. Тест 8: 4. **Тест 9: 2, 3. **Тест 10: 1, 2, 3, 4. **Тест 11: 1, 2, 3, 4. Тест 12: 3. **Тест 13: 1, 4. **Тест 14: 2, 4. Тест 15: 1.
Задание 10.1. 1 – развернутая и циклическая формы рибозы; 2 – развернутая и циклическая формы дезоксирибозы. 2. Рибоза входит в состав нуклеотидов РНК, АТФ; дезоксирибоза — в состав нуклеотидов ДНК.
Задание 11.1. 1 – развернутая форма глюкозы; 2 – циклическая форма a-глюкозы; 3, 4 – циклическая форма b-глюкозы. 2. В составе целлюлозы остатки b-глюкозы , в составе гликогена и крахмала —.a-глюкозы.
Задание 12. 1. Основной энергетический материал клетки, при окислении 1 г выделяется Н2О, СО2, 17,6 кДж. 2. Входят в состав клеточной стенки растительных клеток (целлюлоза), грибов (хитин), бактерий (муреин). 3. Гликоген в составе растений клеток животных и крахмал у растений — запасной энергетический материал. 4. Углеводы в составе гликокаликса и мембран обеспечивают взаимодействие клеток, узнавание клетками друг друга. 5. Полное окисление углеводов сопровождается выделением углекислого газа и воды. 6. Углеводы в составе слизей защищают пищеварительную и дыхательную системы.
Задание 13.1. 1 – молекула жира; 2 – молекула фосфоглицерида. 2. Из остатков глицерола и трех карбоновых кислот. 3. Наличием двойных связей в остатках карбоновых кислот. 4. Жиры – запасные питательные вещества, в цитоплазме клеток; фосфоглицериды – в составе клеточных мембран.
Задание 14.1. При окислении 1 г выделяется 38,9 кДж, Н2О, СО2 и NН3. 2. Фосфолипиды входят в состав клеточных мембран. 3. Растительные и животные жиры и — запасной энергетический материал. 4. Жир плохо проводит тепло, подкожная жировая клетчатка защищает от переохлаждения. 5. Полное окисление жиров сопровождается выделением большого количества углекислого газа и воды. 6. Жирорастворимые половые гормоны — важнейшие регуляторы метаболизма и поведения. 7. Жирорастворимые витамины A,D,E,К входят в состав ферментов.
Задание 15. **Тест 1: 3, 4, 8. **Тест 2: 1, 2, 8. **Тест 3: 2, 6, 7. Тест 4: 2. Тест 5: 2. **Тест 6: 1, 2, 5, 6, 7. Тест 7: 2. Тест 8: 2. Тест 9: 2. **Тест 10: 1, 2, 3, 4, 6, 7, 8. **Тест 11: 3, 4. Тест 12: 1. Тест 13: 4. **Тест 14: 3, 4.
Задание 16.1. В ядре, митохондриях, пластидах. 2. Хранение и передача наследственной информации. 3. 1 – фосфорная кислота; 2 – сахар, дезоксирибоза; 4 – пуриновые и пиримидиновые азотистые основания; 4 – нуклеозид; 5 – нуклеотид; 6 – фрагмент цепи ДНК. 4. Пуриновые: аденин, гуанин; пиримидиновые – тимин, цитозин. 5. Диаметр ДНК 2 нм, расстояние между нуклеотидами одной цепи – 0,34 нм. 6. Через остаток фосфорной кислоты одного нуклеотида и 3'– атом дезоксирибозы другого нуклеотида. 7. Комплементарно и антипараллельно. 8. Чередующимися остатками фосфорной кислоты и дезоксирибозы.
Задание 17.1. В ДНК ядра, митохондрий и пластид, в виде последовательности нуклеотидов. 2. ДНК-полимераза. 3. Каждая цепь нуклеотидов молекулы ДНК является матрицей для синтеза второй, комплементарной цепи нуклеотидов. 4. Миллион. 5. Ферменты, один из них ДНК-полимераза; нуклеозидтрифосфаты. 6.
ТАЦГГЦАЦГ — новая цепь нуклеотидов
АТГЦЦГТАЦ — старая цепь нуклеотидов
ТАЦГГЦАЦГ — старая цепь нуклеотидов
АТГЦЦГТАЦ — новая цепь нуклеотидов
Задание 18.1. Полуконсервативный. 2. Лидирующая. 3. Фрагменты Оказаки. 4. Лигазы. 5. От 3'-конца к 5'-концу. 6. От 5'-конца к 3'-концу. 7. 5'…ТААЦЦГТАЦ…3'. 8. А-нуклеотидов 400 000, Т-нуклеотидов – 400 000, Г-нуклеотидов 600 000, Ц-нуклеотидов – 600 000.
Задание 19. **Тест 1: 2, 4, 5. Тест 2: 4. **Тест 3: 1, 2. Тест 4: 3. Тест 5: 1. Тест 6: 2. Тест 7: 2. **Тест 8: 1, 4. Тест 9: 4. **Тест 10: 1, 2.
Задание 20.1. Различные виды РНК участвуют в биосинтезе белка: иРНК переносит информацию о структуре белка в цитоплазму; рРНК входит в состав рибосом; тРНК транспортирует аминокислоты в рибосомы. 2. В ядре, в ядрышках. 3. 1 – фосфорная кислота; 2 – сахар, рибоза; 3 — пуриновые и пиримидиновые азотистые основания; 4 — нуклеозид РНК; 5 — нуклеотид ДНК; 6 — соединение рибонуклеотидов в полинуклеотидную цепь. 2. Пуриновые: аденин, гуанин; пиримидиновые — урацил, цитозин. 3. Информационные — иРНК, транспортные — тРНК, рибосомные — рРНК. 4. Через остаток фосфорной кислоты одного нуклеотида и 3' – атом рибозы другого нуклеотида. 5. Информационная РНК – до 30 000 нуклеотидов; рибосомные РНК – 3000-5000 нуклеотидов; транспортные РНК – 76-85 нуклеотидов.
Задание 21.1. Универсальный биологический аккумулятор энергии. Энергию АТФ клетки используют для процессов биосинтеза, движения, производства тепла, нервных импульсов, свечения. 2. Аденозинтрифосфорная кислота. 3. Основание — аденин, сахар — рибоза. 4. 80 кДж (или 30,6 кДж х 2)
Задание 22.1 – да; 2 да; 3 – нет; 4 – нет; 5 – да; 6 – нет; 7 – да; 8 – нет; 9 – нет; 10 – нет; 11 – да.
Задание 23.1. Элементы, выполняющие в живых организмах определенные функции. 2. 24 элемента. 3. O, C, H, N. 4. K, Na, Ca, Mg, S, P, Cl, Fe. 5. Гидратация, образование около них гидратной оболочки. 6. Водородные. 7. Гидрофильные – растворимые и гидрофобные – не растворимые в воде. 8. Растворитель для полярных (гидрофильных) веществ, участвует в реакциях гидролиза, гидратации, выполняет транспортные функции, участвует в терморегуляции, сглаживает колебания температуры в клетке и организме, предохраняет водоемы от промерзания. 9 При +4°С. 10. На кислороде небольшой отрицательный, на атомах водорода – небольшие положительные заряды. 11. НРО42- + Н+←→H2PO4-. 12. Натрия больше снаружи клетки, чем внутри, калия больше внутри клетки, чем снаружи. 13. Моносахариды, олигосахариды, полисахариды. 14. С5Н10О4 — дезоксирибоза, С5Н10О5 — рибоза. 15. Гликоген, крахмал, клетчатка, муреин, хитин. 16. Мономер гликогена a-глюкоза, клетчатки b-глюкоза. 17. Энергетическая, запасающая, структурная, рецепторная, защитная. 18. Сложные эфиры глицерола и высших жирных кислот. 19. Фосфолипиды. 20. A, D, E, K. 21. Энергетическая, структурная, запасающая, терморегуляторная, защитно-механическая, источник метаболической воды.
|
|
24. Пептидная. 25. Незаменимые — аминокислоты, которые не могут быть синтезированы в организме человека. Таких аминокислот 10. 26. Полноценные белки содержат все незаменимые аминокислоты. 27. Последовательностью аминокислот в полипептидной цепи. 28. a-спиралью, водородными связями, иногда еще и ионными. 29. Водородными, ионными, ковалентными S-S связями, гидрофильно-гидрофобным взаимодействием. 30. При окислении белков и углеводов — 17,6 кДж; липидов — 38,9 кДж. 31. Структурная, транспортная, регуляторная, защитная, двигательная, запасающая, каталитическая, энергетическая. 32. Специфичность. Скорость катализа зависит от температуры, рН, концентрации субстрата и фермента. 33. Фосфорной кислоты, дезоксирибозы, азотистого основания.
|
|
|
37. Аденин, тимин, гуанин, цитозин. 38. Аденин, гуанин – пуриновые; тимин, цитозин – пиримидиновые. 39. Через остаток фосфорной кислоты одного нуклеотида и 3'-атом дезоксирибозы другого. 40. Между А и Т — две, между Г и Ц — три водородные связи. 41. Принцип соответствия, дополнения, при котором между определенными азотистыми основаниями нуклеотидов образуются водородные связи. 42. Хранение и передача наследственных свойств. 43. Через остаток фосфорной кислоты одного нуклеотида и 3'-атом рибозы другого. 44. Аденин, урацил, гуанин, цитозин. 45. иРНК – переносит информацию о белке из ядра в цитоплазму, рРНК входит в состав рибосом, тРНК транспортирует аминокислоты к рибосомам. 46. Две связи по 40 кДж, всего 80 кДж.
Задание 24.1. Элементы, на долю которых приходится 99,9% от массы клеток. 2. Система, способная противостоять изменениям рН. 3. Вещества, растворимые в воде. 4. Взаимодействие молекул воды с ионами или заряженными группами различных соединений, образование вокруг них гидратных оболочек. 5. 24 элемента, для которых известны выполняемые ими в клетках определенные функции. 6. Аминокислоты, у которых и аминогруппа и карбоксильная группа находятся при первом, α-атоме углерода. 7. Белки, состоящие только из остатков α-аминокислот. 8. Белки, в состав которых входит небелковый компонент (липопротеины, гликопротеины, металлопротеины). 9. Белки, в состав которых входят все незаменимые аминокислоты. 10. Аминокислоты, не синтезируемые в организме человека. 11. Способность аминогруппы присоединять протон, а карбоксильной группы его отдавать. 12. Связь между карбоксильной группой одной аминокислоты и аминогруппой другой в молекуле пептида. 13. Первичная – последовательность аминокислотных остатков в полипептиде; вторичная - α-спиральные участки и β-структурные образования, удерживающиеся водородными связями между СО- и NН-группами, участвующими в образовании пептидных связей; третичная – глобулярная укладка полипептидной цепи, удерживается S-S связями между остатками цистеина, гидрофобных, электростатических и водородных связей; четвертичная – ассоциация нескольких полипептидов в единую структуру. 14. Денатурация – разрушение структур белковой молекулы, кроме первичной. Ренатурация – восстановление нативной структуры белка и восстановление его свойств. Деградация – разрушение первичной структуры белка. 15. Способность фермента взаимодействовать с определенным субстратом или группой сходных субстратов. 16. Органические вещества, производные многоатомных спиртов, состоящие из С, Н, О. 17. Простые углеводы, общая формула (СН2О)n, где n больше или равно 3. 18. Сложные углеводы, содержащие от 2 до 10 моносахаридных остатков. 19. Олигосахариды, молекулы которых образованы двумя остатками моносахаридов. 20. Высокомолекулярные органические вещества, мономерами которых являются простые углеводы. Как правило, в состав полисахаридов входит несколько сотен остатков мономерных единиц. 21. Углеводные производные липидов. 22. Углеводные производные белков. 23. Связь, образующаяся в результате реакции конденсации между 1 и 4 атомами углерода моносахаридов. 24. Полисахарид с общей формулой (С6Н10О5)n, где n – количество остатков α-глюкозы. 25. Линейный полимер β-глюкозы, основной структурный углевод клеточных стенок растений. 26. Основной резервный углевод животных и человека, состоит из остатков α-глюкозы, его молекулы более разветвлены чем молекулы амилопектина. 27. Сложные эфиры глицерина и высших жирных кислот. 28. Сложные эфиры многоатомных спиртов с высшими жирными кислотами, содержащие остаток фосфорной кислоты. 29. Соответствие количества пуриновых азотистых оснований количеству пиримидиновых (А + Г) = (Т + Ц), количество А-нуклеотидов равно количеству Т-нуклеотидов, количество Г-нуклеотидов равно количеству Ц-нуклеотидов. 30. Химическое соединение, состоящее из остатков трех веществ: азотистого основания, дезоксирибозы, фосфорной кислоты. 31. Принцип соответствия, дополнения, при котором между определенными азотистыми основаниями нуклеотидов образуются водородные связи. 32. Разнонаправленное расположение цепей нуклеотидов в молекуле ДНК, т.е. против 3'-углерода сахара одной цепи находится 5'-углерод второй. 33. Удвоение молекулы ДНК. 34. Репликация ДНК на отстающей цепи происходит фрагментами, которые получили название «фрагменты Оказаки». 35. Цепь нуклеотидов, по которой ДНК-полимераза движется непрерывно в направлении от 3'- к 5'-концу.
Дата добавления: 2015-08-08; просмотров: 7919;
