Задание 7. «Функции белков».
Запишите пропущенные слова:
1. Структурная функция белков проявляется в том, что (_).
2. Рецепторная функция белков проявляется в том, что (_).
3. Регуляторная функция белков проявляется в том, что (_).
4. Каталитическая функция белков проявляется в том, что (_).
5. Транспортная функция белков проявляется в том, что (_).
6. Двигательная функция белков проявляется в том, что (_).
7. Энергетическая функция белков проявляется в том, что (_).
8. Запасающая функция белков проявляется в том, что (_).
9. Защитная функция белков проявляется в том, что (_).
Задание 8. «Активный центр фермента»
Рассмотрите рисунок и ответьте на вопросы:
|
- Что обозначено на рисунке под цифрами 1 — 4?
- Как называется участок фермента, взаимодействующий с молекулой субстрата?
- Какая структура у белков-ферментов?
- Почему при изменении температуры и рН изменяется каталитическая активность ферментов?
- Почему ферменты специфичны?
- Чем гипотеза Фишера отличается от гипотезы Кошланда?
Задание 9. «Белки»
Запишите номера тестов, против каждого – правильные варианты ответа
Тест 1. На первом месте по массе из органических веществ в клетке находятся:
1. Углеводы.
2. Белки.
3. Липиды.
4. Нуклеиновые кислоты.
**Тест 2. В состав простых белков входят следующие элементы:
1. Углерод. 5. Фосфор.
2. Водород. 6. Азот.
3. Кислород. 7. Железо.
4. Сера. 8. Хлор.
Тест 3. Количество различных аминокислот, встречающихся в белках:
1. 170.
2. 26.
3. 20.
4. 10.
**Тест 4. Количество незаменимых для человека аминокислот:
1. Таких аминокислот нет.
2. 20.
3. 10.
4. 7.
**Тест 5. Неполноценные белки — белки:
1. В которых отсутствуют некоторые аминокислоты.
2. В которых отсутствуют некоторые незаменимые аминокислоты.
3. В которых отсутствуют некоторые заменимые аминокислоты.
4. Все известные белки являются полноценными.
Тест 6. Придают аминокислотам свойства:
1. Кислые — радикал, щелочные — аминогруппа.
2. Кислые — аминогруппа, щелочные — радикал.
3. Кислые — карбоксильная группа, — щелочные — радикал.
4. Кислые — карбоксильная группа, щелочные — аминогруппа.
Тест 7. Пептидная связь образуется в результате:
1. Реакции гидролиза.
2. Реакции гидратации.
3. Реакции конденсации.
4. Все выше перечисленные реакции могут привести к образованию пептидной связи.
Тест 8. Пептидная связь образуется:
1. Между карбоксильными группами соседних аминокислот.
2. Между аминогруппами соседних аминокислот.
3. Между аминогруппой одной аминокислоты и радикалом другой.
4. Между аминогруппой одной аминокислоты и карбоксильной группой другой.
**Тест 9. Вторичную структуру белков стабилизируют:
1. Ковалентные.
2. Водородные.
3. Ионные.
4. Такие связи отсутствуют.
**Тест 10. Третичную структуру белков стабилизируют:
1. Ковалентные.
2. Водородные.
3. Ионные.
4. Гидрофильно-гидрофобное взаимодействие.
**Тест 11. При окислении 1 г белка образуются:
1. Вода. 5. Мочевина.
2. Углекислый газ. 6. 38,9 кДж энергии.
3. Аммиак.
4. 17, 6 кДж энергии.
Тест 12. В пробирки с пероксидом водорода поместили кусочек вареной колбасы, хлеба, моркови, рубленого яйца. Кислород выделялся в пробирке:
1. С кусочком вареной колбасы.
2. С кусочком хлеба.
3. С кусочком моркови.
4. С кусочком рубленого яйца.
**Тест 13. Верные суждения:
1. Ферменты специфичны, каждый фермент обеспечивает реакции одного типа.
2. Ферменты универсальны и могут катализировать реакции разных типов.
3. Каталитическая активность ферментов не зависит от рН и температуры.
4. Каталитическая активность ферментов напрямую зависит от рН и температуры.
**Тест 14. Верные суждения:
1. Фермент — ключ, субстрат — замок согласно теории Фишера.
2. Фермент — замок, субстрат — ключ согласно теории Фишера.
3. После каталитической реакции фермент и субстрат распадаются, образуя продукты реакции.
4. После каталитической реакции фермент остается неизменным, субстрат распадается, образуя продукты реакции.
Тест 15. Верное суждение:
1. Витамины являются кофакторами многих ферментов.
2. Все белки являются биологическими катализаторами, ферментами.
3. При замерзании происходит необратимая денатурация ферментов.
4. Ренатурация — утрата трехмерной конфигурации белка без изменения первичной структуры.
Задание 10. «Важнейшие пентозы»
Рассмотрите рисунок и ответьте на вопросы:
|
1. Какие углеводы изображены на рисунке цифрами 1 — 2?
2. В состав каких органических молекул входят данные пентозы?
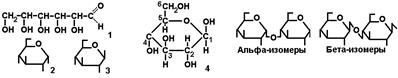
Задание 11. «Важнейшие гексозы»
Рассмотрите рисунок и ответьте на вопросы:
|
1. Какие формы глюкозы изображены на рисунке цифрами 1 — 4?
2. Как называется изомеры, входящие в состав целлюлозы? Гликогена? Крахмала?
Дата добавления: 2015-08-08; просмотров: 4786;
