Уравнения теплообмена массива с вентиляционной струей в шахтной выработке
При проветривании возможны следующие случаи взаимодействия вентиляционной струи в шахтной выработке с окружающим массивом:
• стационарный режим теплообмена;
• нестационарный режим теплообмена.
Стационарный режим теплообмена имеет место в том случае, если вентиляция выработок непрерывна. При этом температура воздушной струи и стенки выработки в заданном ее сечении остаются постоянными, но изменяются по длине выработки.
Если же проветривание подземных выработок осуществляется не постоянно или же с периодическим реверсированием вентиляционной струи, то имеет место нестационарный режим теплообмена. В этом случае температура воздушной струи и стенки выработки изменяются не только по длине выработки, но и во времени в любом заданном ее сечении.
Рассмотрим в начале наиболее простой случай теплообмена -стационарный.
Коэффициент теплоотдачи от вентиляционной струи к массиву (при его охлаждении на глубоких горизонтах), или же от массива к вентиляционной струе (при проветривании выработок, пройденных в многолетнемерзлых породах) при стационарном режиме постоянен в заданном сечении выработки и меняется только по ее длине. При нестационарном он меняется и по длине выработки и во времени в любом сечении выработки.
Оценка температурного поля вокруг выработки при нестационарном теплообмене будет учтена поправками к коэффициенту нестационарного теплообмена ατ.
Так как форма выработки на параметры теплообмена практически не влияет, то для удобства аналитического описания процесса теплообмена ее форму примем цилиндрической.
Таким образом, имеем выработку круглого сечения радиусом Rв. Температуру вентиляционной струи в заданном сечении выработки обозначим через Тв. Температура породного массива во всех его точках в начальный момент проветривания будет одинакова, обозначим ее через Т0.
Другие обозначения примем следующие: λ — теплопроводность породы, Вт/(м -К); а — температуропроводность породы, м /с; α — коэффициент стационарного теплообмена, Вт/ (м∙К); τ — переменная времени, с; r — переменная радиуса, начиная с оси выработки, м; Т — переменная температуры, К.
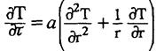
В принятой постановке для нахождения температурного поля вокруг цилиндрической выработки при стационарном режиме теплообмена необходимо решить дифференциальное уравнение теплопроводности в цилиндрических координатах
(4.3)
при следующих начальных
(4.4)
и граничных условиях
(4.5)
(4.6)
где Тс — температура стенки выработки, К.
Решение дифференциального уравнения (4.3) при начальных и граничных условиях (4.4)-(4.6) имеет вид:
(4.7)
где
- безразмерная температура для случая охлаждения массива вокруг выработки и
— для случая его нагрева;
— бесселевы функции первого и второго рода соответственно нулевого и первого порядка;

s — переменная Лапласа при замене функции f(τ) ее изображением F(s) в преобразованиях Лапласа

— критерий Фурье;
- критерий Био.
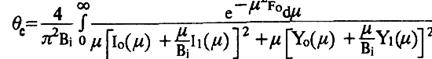
При r = Rв безразмерная температура стенки выработки θс при стационарном режиме теплообмена согласно (4.7) будет равна
(4.8)
В начальный момент
, а при 
При бесконечно больших значениях коэффициента теплоотдачи а, т.е. при очень больших значениях критерия Био (Вi → ∞) уравнение (4.7) принимает вид:

Для оценки температурного поля в массиве при нестационарном режиме теплообмена в решение (10.7) вместо критерия Био необходимо подставить критерий Кирпичева, который равен
(10.9)
где ατ — коэффициент нестационарного теплообмена, Вт/(м2∙К). Пользоваться решениями для оценки θ и Ки в практических расчетах весьма затруднительно, поэтому решения (4.8) и (4.9) в виде номограмм приведены на рис. 4.1 и 4.2.

Рис. 4.1.Номограмма для определения безразмерной температуры стен шахтных выработок

Рис. 4.2. Номограмма для определения безразмерного коэффициента нестационарного теплообмена (критерия Кирпичева) между горным массивом и рудничным воздухом
Дата добавления: 2015-07-30; просмотров: 978;
