Теплообмен при проветривании подземных выработок
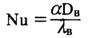
Критериальная зависимость для определения параметров теплообмена рудничного воздуха со стенками выработок имеет следующий вид:
(4.10)
где
— критерий Нуссельта;
εш — коэффициент, учитывающий влияние шероховатости боков выработок на параметры теплообмена при гладкой поверхности выработки εш = 1, при увеличении диаметра стоек крепи увеличивается и достигает 1,3;
- критерий Рейнольдса;
α — коэффициент теплоотдачи от боков выработки к рудничному воздуху,
Вт/(м2∙К);
Dв — диаметр выработки (при круглом сечении) или приведенный диаметр
при произвольной форме сечения выработки,
, м;
Fв — площадь поперечного сечения выработки, м2;
λв — теплопроводность воздуха, λв = 2,57∙10-2 Вт/(м∙К) при нормальном
давлении;
ωв — скорость воздуха в выработке, м/с;
νв - кинематическая вязкость воздуха νв = 0,0182∙10-6м2/с при Т = 20°С и νв =
0,0212∙10-6 м /с при Т = 100°С. Для практических расчетов пользуются
следующей формулой для определения коэффициента теплоотдачи,
Вт/(м2∙К):
(4.11)
где Gв — расход воздуха, кг/с; Пв — периметр выработки, м; Fв — площадь поперечного сечения выработки, м2.
Если выработка закреплена всплошную кирпичей, бетоном или деревом, то коэффициент теплоотдачи необходимо определять по формуле
(4.12)
где δК — толщина крепи, м; λк — теплопроводность материала крепи, Вт/(м∙К).
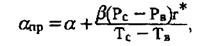
В обводненных шахтах и рудниках из-за испарения воды с боков выработки процесс теплообмена интенсифицируется. В этом случае необходимо пользоваться приведенным коэффициентом теплоотдачи αпр, Вт/(м∙К), который определяют по формуле
(4.13)
где а — определяют по формуле
или
;
β — коэффициент массоотдачи, кг/(м2∙с∙Па);
Рс — парциональное давление паров воздуха при температуре поверхности
выработки Тс, Па; Р — парциональное давление паров при температуре
воздуха Тв, Па;
r*— теплота парообразования, г = 24,5∙105 Дж/кг при Т = 20°С и г* = 22,6∙10
Дж/кгприТ = 100°С.
Коэффициент массоотдачи рассчитывают по формуле
(4.14)
где В — барометрическое давление воздуха, Па.
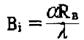
Следует отличать коэффициенты теплообмена, которые определяются по приведенным выше формулам, от коэффициента нестационарного теплообмена, который измеряется количеством тепла, отданного массивом (или полученного массивом при его нагреве) рудничному воздуха с 1 м поверхности выработки в течении 1 с при разности температур между глубинными неохлажденными породами и воздухом, равном одному градусу.

(4.15)
где
— критерий Кирпичева (безразмерный коэффициент нестационарного теплообмена);
— критерий Фурье;
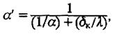
— критерий Био;
—приведенный радиус выработки;

λ и а — коэффициенты теплопроводности и температуропроводности пород
массива соответственно, Вт/(м∙К) и м2/с;
τ — продолжительность эксплуатации выработки, с.
Критерий Кирпичева можно определить по графику, приведенному на рис. 4.2, коэффициент нестационарного теплообмена определяют по формуле
(4.16)
В том случае, когда кроме теплообмена имеет место и массообмен, для расчета критерия Био следует пользоваться приведенным коэффициентом теплообмена αпр, определяемым по формуле

Дата добавления: 2015-07-30; просмотров: 1099;
