Общая структура файловой системы
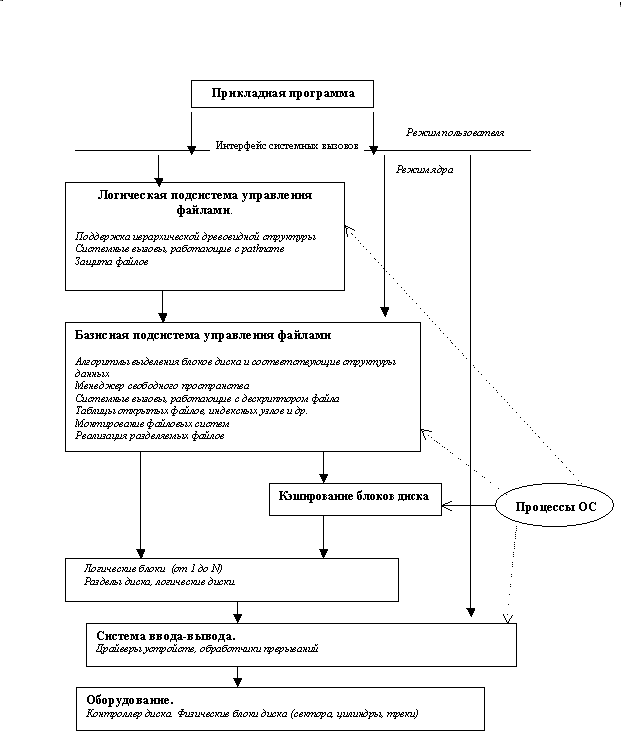
Система хранения данных на дисках может быть структурирована следующим образом (см. рис. 12.1).
Нижний уровень - оборудование. Это в первую очередь, магнитные диски с подвижными головками - основные устройства внешней памяти, представляющие собой пакеты магнитных пластин (поверхностей), между которыми на одном рычаге двигается пакет магнитных головок. Шаг движения пакета головок является дискретным и каждому положению пакета головок логически соответствует цилиндр магнитного диска. Цилиндры делятся на дорожки (треки), а каждая дорожка размечается на одно и то же количество блоков (секторов), таким образом, что в каждый блок можно записать по максимуму одно и то же число байтов. Следовательно, для произведения обмена с магнитным диском на уровне аппаратуры нужно указать номер цилиндра, номер поверхности, номер блока на соответствующей дорожке и число байтов, которое нужно записать или прочитать от начала этого блока. Таким образом, диски могут быть разбиты на блоки фиксированного размера, и можно непосредственно получить доступ к любому блоку (организовать прямой доступ к файлам).
Непосредственно с устройствами (дисками) взаимодействует часть ОС, называемая система ввода-вывода (см. соответствующую главу). Система ввода-вывода (она состоит из драйверов устройств и обработчиков прерываний для передачи информации между памятью и дисковой системой) предоставляет в распоряжение более высокоуровневого компонента ОС - файловой системы используемое дисковое пространство в виде непрерывной последовательности блоков фиксированного размера. Система ввода-вывода имеет дело с физическими блоками диска, которые характеризуются адресом, например, диск 2, цилиндр 75, сектор 11. Файловая система имеет дело с логическими блоками, каждый из которых имеет номер (от 0 или 1 до N). Размер этих логических блоков файла совпадает или кратен размеру физического блока диска и может быть задан равным размеру страницы виртуальной памяти, поддерживаемой аппаратурой компьютера совместно с операционной системой.
В структуре системы управления файлами можно выделить базисную подсистему, которая отвечает за выделение дискового пространства конкретным файлам, и более высокоуровневую логическую подсистему, которая использует структуру дерева директорий для предоставления модулю базисной подсистемы необходимой ей информации исходя из символического имени файла. Она также ответственна за авторизацию доступа к файлам.

Рис. 12.1 Блок схема файловой системы
В современных ОС далее принято разбивать диски на логические диски (это также низкоуровневая операция), иногда называемые разделами (partitions). Бывает, что наоборот объединяют несколько физических дисков в один логический диск (например, как это можно сделать в ОС Windows NT). На каждом разделе можно иметь свою независимую файловую систему. Поэтому в дальнейшем изложении мы будем игнорировать проблему физического выделения пространства для файлов и считать, что каждый раздел представляет собой отдельный (виртуальный) диск. Собственно диск содержит иерархическую древовидную структуру, состоящую из набора файлов, каждый из которых является хранилищем данных пользователя, и каталогов или директорий (то есть файлов, которые содержат перечень других файлов, входящих в состав каталога), которые необходимы для хранения информации о файлах системы.
Стандартный запрос на открытие (open) или создание (creat) файла поступает от прикладной программы к логической подсистеме. Логическая подсистема, используя структуру директорий, проверяет права доступа и вызывает базовую подсистему для получения доступа к блокам файла. После этого файл считается открытым, содержится в таблице открытых файлов, прикладная программа получает в свое распоряжение дескриптор (или handle в системах Microsoft) этого файла. Дескриптор файла является ссылкой на файл в таблице открытых файлов и используется в запросах прикладной программы на чтение-запись из этого файла. Запись в таблице открытых файлов указывает через систему аллокации блоков диска на блоки данного файла. Если к моменту открытия файл уже используется другим процессом, то есть содержится в таблице открытых файлов, то, после проверки прав доступа к файлу может быть организован совместный доступ. При этом новому процессу также возвращается дескриптор - ссылка на файл в таблице открытых файлов. Далее в тексте подробно проанализирована работа наиболее важных системных вызовов.
Дата добавления: 2015-07-24; просмотров: 1199;
