Действительный эллипсоид

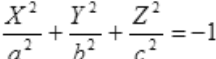
Мнимый эллипсоид

3)Однополостный гиперболоид

Двуполостный гиперболоид

Эллиптический параболоид

Гиперболический параболоид

В) Не распадающиеся действительные поверхности
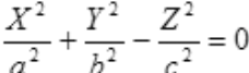
Действительный конус

Мнимый конус

Эллиптический цилиндр

Дата добавления: 2015-07-24; просмотров: 1508;
