Окружной к.п.д. осевой турбины
Окружной к.п.д. есть отношение окружной работы
, совершаемой рабочим телом на лопаточном венце, к располагаемой энергии L0, приходящейся на данную ступень и характеризуемую величиной теплоперепада hа, срабатываемого на ступени

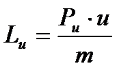
Как известно, по уравнению Эйлера секундная работа 1 кг. массы пара на рабочем венце турбинной ступени, т.е. окружная работа равна

где, окружное усилие на среднем диаметре рабочего колеса Рu может быть найдено через проекции относительных скоростей по уравнению

Тогда


Для турбины с любой степенью реактивности
имеем, что
или, учитывая
найдем

Тогда

Учитывая, что 

Получим
(1)
Из уравнения (1) для активной ступени ρ = 0 следует

но
или умножая на
найдем

И тогда
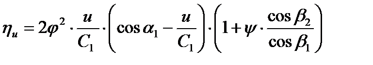
или
- формула Банки
Из рассмотренной формулы видно, что ηu зависит:
от угла α1, чем меньше угол α1, тем больше к.п.д. Но уменьшение α1, при заданной окружной скорости, вызывает уменьшение угла β1, а, следовательно возрастание потерь от кривизны потока, т.е. уменьшение коэффициента ψ. Наивыгоднейший угол α1 ≈ 14-20°
от угла β2 – чем меньше угол, тем больше ηu. Но с уменьшением β2 уменьшается коэффициент ψ, поэтому обычно β2 = β1 – (3° ÷ 10°) и как максимум делают β2 = β1
от отношения u/С1. Это отношение имеет самое существенное влияние на ηu и носит название «характеристики активных турбин».
При заданных профилях сопел и лопаток, т.е. при φ - const, ψ - const, β1 и β2 – const, ηu будет зависеть только от выражения

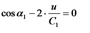
Беря от этого выражения первую производную и приравнивая ее к нулю, найдем величину наивыгоднейшего отношения u/С1, при которой ηu будет максимальным
; 
Откуда

При
.
Здесь
и входной треугольник имеет вид

Но при выводе уравнения Банки, мы заменили условие, что
и
и тогда получили, что скорость
и направление векторов скорости
и
совпадают, т.е. абсолютная скорость потока не претерпевает изменений как по величине, так и по направлению. Работа такой ступени равна нулю. В то же время из треугольников скорости видно, что при заданном угле α1 и заданной величине скорости
при изменении отношения u/С1 будет изменяться и величина угла
, т.е. направление вектора
, и форма профиля (при заданных вначале условиях
) будет различной для каждого отношения u/С1.
В действительности форма профиля выбирается для
и при изменения отношения u/С1 остается неизменной.
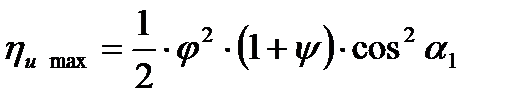
Если подставить отношение
в уравнение Банки и положив
получим

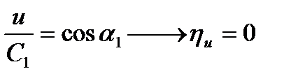
На основании уравнения Банки можно построить кривые зависимости ηu от отношения u/С1.
Из уравнения имеем, что
при u/С1 = 0 → ηu = 0
при u/С1 = cosα1 → ηu = 0
при u/С1 = cosα1/2 → ηu = ηmax

Дата добавления: 2015-07-22; просмотров: 1192;
