Влияние влаги на работу турбины
Крупные капли под влиянием сил инерции сказываются у вогнутой поверхности лопаток. Поперечное движение влаги возникает также и на торцевых поверхностях каналов. Эти течения создают значительные скопления влаги в углах концов лопаток, которые срабатываются с вогнутой стороны стенок направляющего аппарата в виде крупных капель. В момент схода с лопаток скорость этих капель невелика по сравнению со скоростью пара.
Вследствие различия абсолютных скоростей пара и капель влаги последние входят в рабочее колесо с большим отрицательным углом атаки, вызывая эрозийный износ рабочих лопаток и некоторое торможение рабочего колеса. типичные для периферийной зоны последних ступеней входные треугольники скоростей представлены на рисунке.

Здесь: C1u и W1u – скорости пара и скорости мелких (до 1 мк) частиц влаги, следующих по линиям тока основного потока; C1в и W1в – скорости пленочного потока крупных капель, имеющих малую абсолютную скорость (
); C’1в и W’1в – скорости срывного потока капель воды (
).
Как видно из рисунка относительные скорости набегания на лопатку пленочного и срывного потоков очень велики по сравнению с относительной скоростью набегания на лопатку парового потока (W1в ≈ W’1в ≈ U) и, кроме того , влага попадает на рабочие лопатки под большими отрицательными углами атаки (i = 160° - 180°). Последнее обстоятельство приводит к эрозийному разрушению лопаток и снижению к.п.д. ступени.
Поскольку за счет центробежных сил и закрутки потока живая фаза потока концентрируется в периферийной области, то эрозийного разрушения лопаток следует ожидать в первую очередь, в периферийной части. Скорость эрозийного износа лопаток последних ступеней турбины АЕИ при отсутствии отсоса влаги (кривая 1) и при наличии отсоса влаги (кривая 2) показаны на рисунке.

Из рисунка видно, что при отсутствии отсоса влаги износ лопатки за 700 часов (29 суток) составляет 15% от номинального веса лопатки. Если же влага из полости ступени отсасывается, то износ составляет всего около 3%.
Турбина ВКТ – 100 Харьковского завода спроектирована на Р1 = 90 ата, t = 535° и Р2 = 0,035 ата имеет длину лопаток последней 21 степени l = 740 мм и окружную скорость на периферии 447 м/сек. Материал 1Х13. Расчетная влажность на выходе из направляющего аппарата последней ступени 10,7%, за ступенью – 13,6%. Толщина профиля на периферии δмах = 4 мм. Для уменьшения эрозийного действия в конструкции был предусмотрен большой осевой зазор между рабочими и направляющими лопатками (s = 60 мм) и введена отрицательная перекрыша Δ = 10 мм.

Турбина работала с пониженными параметрами пара (Р1 = 80 ата, t = 490°), что ужесточило условия работы в отношении эрозии. Через 1460 часов износ лопаток на периферии составил 40 мм. Среднее значение износа составляло ~ 2∙10-2 мм/час.
Для качественной оценки эрозийной надежности лопаток существует целый ряд формул. В качестве примера приведу формулу Л.И. Дягтерева, выведенную в предположении чисто механического воздействия капель влаги на поверхность лопатки.

где:
;
удельная сила эрозийного воздействия, МПа;
uн, β1н, С1н – скорости и углы на периферии лопатки; μn – вязкость пара, Ма∙с; δа – осевой зазор, м; σ – поверхностное натяжение воды, н/м; υ’ и υ”, м3/кг.
Для турбин, имеющих в конце расширения влажность Ук = 0,1÷0,4, Л.И. Дегтярев дает следующие сроки службы лопаток.
Таблица
, МПа
| Срок службы лопаток, ч |
| 65-70 50-60 40-45 30-35 | до 3000 15000 – 25000 > 50000 эрозия не наблюдается |
Кроме эрозийного разрушения лопаток наличие влаги в турбинных ступенях приводит и к снижению к.п.д. ступеней. Потерю от влажности обычно учитывают уменьшением внутреннего к.п.д. ступени, пологая, что к.п.д. ступени, работающей влажным паром равен к.п.д. ступени, работающей сухим паром при тех же условиях, умноженному на среднюю сухость пара в ступени.

В первом приближении можно посчитать, что на каждый процент влажности к.п.д. ступени снижается на 1,0 ÷ 1,1 %.
Потери к.п.д. кроме влажности пара зависят также и от отношения u/С1. При этом при малых значениях u/С1 (активные турбины) потери к.п.д. от влажности снижаются.

Зависимость потерь к.п.д. от влажности пара.
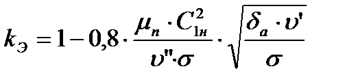
Влияние влажности на работу турбинной ступени и ее к.п.д рассматривалось очень многими авторами, которые для снижения к.п.д. ступени, работающей на влажном паре по отношению к к.п.д. при работе ступени на перегретом паре рекомендуют применять формулу

где х1 – начальная сухость пара перед ступенью.
По данным МЭИ: k = 2,0 ÷ 2,4 – для дозвуковых скоростей;
k = 1,7 ÷ 1,8 – для сверхзвуковых скоростей;
Для построения процесса в is – диаграмме потери от влажности определяются пака по различным опытным графикам.
На рисунке дан график коэффициента потерь от влажности для активной ступени (метод ДЖИИ).

В этом графике потеря находится в % от теплоперепада, срабатываемого на ступени.
Для ступеней реактивных турбин и активных с реакцией вводится дополнительная поправка в виде коэффициента ε, определяемою по графику.

Окончательная потеря от влажности находится по уравнению
, кДж/кг
Б.М. Трояновский (стр 68) предлагает учитывать потерю от влажности путем снижения расхода пара на ступень. Мощность рассматриваемой ступени должна подсчитаться по расходу

Здесь: G’ – расход рабочего вещества до отвода влаги; y’сеп = влажность пара в ступени в месте отвода влаги; у – влажность в расчитываемом сечении без учета сепарации; ΔGпара – количество пара, отводимое вместе с влагой; ψ – коэффициент сепарации

Дата добавления: 2015-07-22; просмотров: 2059;

, МПа