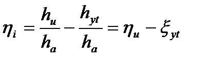
Внутренний к.п.д. реактивной ступени
Внутренний к.п.д. реактивной ступени ηi может быть представлен как отношение

здесь 
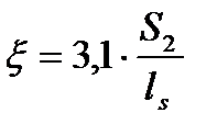
Потерей на трение и вентиляцию пренебрегаем. Наибольшее значение имеет потеря
, которую мы раньше определяли из выражения
, где 
Таким образом

Профессор Щегляев А.В. дает
следующую зависимость
,
где kб = 0,001; n – число оборотов вала; zy – число гребешков в уплотнении; F1 – выходная площадь сопловой решетки; l – высота лопатки; d – средний диаметр облапачивания.
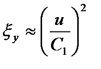
Из этой формулы видно, что 
Тогда

Внутренний к.п.д. реактивной турбины зависит от
и оптимальное отношение u/С1 тем ниже, чем больше потери от утечки.
Дата добавления: 2015-07-22; просмотров: 1083;
