Определение надежности теста
Тест обычно считается надежным, если с его помощью получаются одни и те же показатели для каждого обследуемого при повторном тестировании.
В психометрике термин надежность имеет два значения. На одном из них — надежности по внутренней согласованности — мы не будем останавливаться подробно, отсылая читателя к соответствующим справочникам и руководствам1, отметив только, что требование к внутренней согласованности теста не случайно. Вполне естественно считать, что если некоторая переменная измеряется частью теста, то другие его части, не будучи согласованными с первой, измеряют нечто другое. Для того чтобы быть валидным, тест должен быть согласованным. Существует несколько способов определения надежности.
Надежность ретестовая — предполагает повторное предъявление того же самого теста тем же испытуемым и примерно в тех же условиях, что первоначальное, а затем установление корреляции между двумя рядами данных. При использовании этого способа определения надежности нужно отдавать себе отчет в том, что испытуемые могут запомнить свои ответы и воспроизвести их во второй раз, поэтому повторное тестирование должно быть отделено от первого более-менее значительным временным интервалом, обычно не менее месяца. Некоторые психологи настаивают на интервале между тестированиями не менее 6 месяцев (Клайн, 1994).
Мы не считаем требование П. Клайна об обязательном 6 месячном интервале между тестированиями безусловным. В подтверждение сошлемся на результаты . исследования канадских психологов. С помощью личностного опросника были обследованы 302 студента с интервалом в 3 недели. Условия повторного тестирования варьировались. Стандартный коэффициент ретестовой надежности, равный 0,872, не отличался от коэффициентов надежности, полученных в трех группах испытуемых, получавших одну из трех специфических инструкций: 1) продумывать ответы; 2) использовать воспоминания о прошлых ответах; 3) выполнять параллельную форму теста. Было обнаружено, что стандартный коэффициент надежности выше коэффициента, полученного при инструкции воспроизводить прошлые ответы.
Наименьшим удовлетворительным значением для ретестовой надежности является коэффициент корреляции, равный 0,7. Правда, для некоторых тестов этот показатель может быть несколько ниже.
1 Изданный под нашей редакцией перевод с английского книги П. Клайна «Справочное руководство по конструированию тестов» (Киев, 1994), пока, к сожалению, единственная на русском языке достаточно подробная работа по конструированию тестов, может удовлетворить интерес читателя к этой проблеме.
162 Глава 3. Психометрические основы психодиагностики: основные этапы...
Надежность параллельных формпредусматривает создание эквивалентных форм опросника и предъявление их одним и тем же испытуемым для того, чтобы затем оценить корреляцию между полученными результатами. Основная проблема, препятствующая широкому распространению этого способа определения надежности, — необходимость подготовки двух наборов заданий, что чрезвычайно сложно, поскольку требуются убедительные доказательства их эквивалентности.
Надежность частей тестаопределяется путем деления опросника на две части (обычно на четные и нечетные задания), после чего и рассчитывается корреляция между этими частями. Обычно к этому способу определения надежности рекомендуется прибегать только в тех случаях, когда необходимо быстро получить результаты.
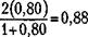
Для определения ретестовой надежности и надежности параллельных форм корреляции подсчитывается на основе коэффициента произведения моментов Пирсона. Эта процедура подсчета рассматривалась нами ранее, в разделе, посвященном анализу заданий. Для определения надежности частей теста ранее рассчитанный коэффициент произведения моментов Пирсона (между двумя половинами теста) используется в формуле Спирмена—Брауна. Формула Спирмена— Брауна имеет вид:
где Гц — надежность, оцененная для всего опросника; г,/,/ — корреляция между двумя половинами опросника.
Например, если коэффициент корреляции произведения моментов Пирсона между двумя половинами теста равен 0,80, то:

Подчеркнем, что наилучшей процедурой определения надежности является проведение повторных исследований через более или менее значительные временные интервалы.
Все исследования надежности должны выполняться на достаточно больших (рекомендуется 200 и более испытуемых) и репрезентативных выборках. Надежность — важная характеристика теста, но сама по себе ценности не представляет. Она необходима для достижения валидности.
Дата добавления: 2015-07-22; просмотров: 939;
