Зонная структура типичных металлов, полупроводников, полуметаллов, бесщелевых полупроводников и диэлектриков.
Зонная структура некоторых п/п

Прямодонный п/п –абсолютный минимум в зоне проводимости и абсолютный максимум в центре
(
)
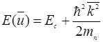
Зона проводимости: эффективная масса
- скалярная величина, закон дисперсии в близи зоны проводимости …
-квадратичный изотропный (где справедливо понятие тензора
):
Валентная зона: эффективная масса дырок
-скаляр, закон дисперсии:
Отсчет энергии в зоне проводимости и валентной зоне

Зона проводимости и валентная зона- невырожденные, т.к. законы дисперсии описываются одной ветвью
.
Ширина запрещенной зоны -
(расстояние по вертикали)
между E min (
) в зоне проводимости E max (
) в валентной зоне, лежащих в точке
.
Непрямозонный п/п
-многодолинный п/п в котором абсолютный минимум в зоне проводимости лежит не в центре
- в точке 

Зона проводимости
Эффективная масса электрона
- тензор (поперечная и продольная эффективные массы
)
Зона проводимости- многодолинная- имеет несколько эквивалентных абсолютных минимумов, в эквивалентных направлениях точка
в соответствии с симметрией кристалла (X или L-долины).
Закон дисперсии (анизотропный): 
Поверхности равной энергии: эллипсоиды вращения- относительно главной оси тензора
.
Для этого п/п- вводят понятие термической (
) и оптической (
) запрещенных зон.
-расстояние по оси E между абсолютным минимумом
в зоне проводимости и абсолютным максимумом
в валентной зоне.
-энергетический зазор, который определяет равновесную концентрацию электронов (
) и дырок (
), т.е. определяет электропроводность п/п.
-расстояние по шкале энергии E между минимумов в зоне проводимости в точке
максимумом в валентной зоне- проявляет в оптическом поглощении, т.к. вероятность перехода электрона из валентной зоны при поглощении фотона больше чем на прямой с изменением в.в. (
).
Электроны проводимости распространяются равномерно между L(x) долинами.
Вырождение валентной зоны
Простая валентная зона с одной ветвью
не реализуется в п/п. Для п/п характерно вырождение (по энергии) валентной зоны вида:

В точке
стыкуются две зоны
(две ветви E(
))
-одной энергии соответствуют разные волновые функции
, это приводит к искажению поверхностей равной энергии. они представляют гафрированные поверхности, отвечающие закону дисперсии:
-кубические кристаллы.
Значение компонент
- зависит от направления.
При незначительных искажениях эллипсоидальных поверхностей путем усреднения значения энергии по разным направлениям, при данном
- их замещают сферическими поверхностями с изотропными массами дырок
-тяжелые дырки (ветвь
, где энергия изменяется более медленно с
) и
- легкие дырки (ветвь
).

-скаляры(определяются из опытов по циклотронному резонансу)
-тяжелые дырки;
-легкие дырки
Сечение изоэнергитических поверхностей при вырождении зон

Т.о. валентная зона сложная, состоит из двух параболических подзон, стыкующихся в точке
.
Спин: орбитальное расщепление вырожденно валентной зоны.

Если в уравнение Шредингера ввести потенциальную энергию, взаимодействия силового магнитного момента с магнитным полем, создаваемым орбитальным движением электронов, то это приводит к смещению уровней энергии и к частичному или полному вырождению уровней в зависимости от симметрии кристалла.
Кристаллы с центром инверсии

Спиновое вырождение остается.
Кристаллы без центра инверсии

Вырождение снимается полностью, включая спиновое.
смещается из точки
в точку
.
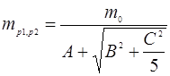
С учетом вырождения и спин- орбитального расщепления валентной зоны состоящей из трех подзон.

- подзоны тяжелых и легких дырок
- отщепленный подзона, параболическая с эффективной массой
Закон дисперсии для валентной зоны:
(
)
+ 
- подзона проявляется в оптическом поглощении
- в электропроводности и поглощении света
Зонная структура элементарных полупроводников (
)
-непрямодонные п/п, зона проводимости и валентная зона- сложные- состоят из наложения трех полос, каждая образована из гибридизированных
- состояний валентных электронов.
ГерманийСтруктура зон
Зона проводимости: имеет минимумы энергии- долины
, абсолютный минимум-
, эффективная масса электронов- тензор (
). Закон дисперсии- квадратичный анизотропный.

Поверхности равной энергии- эллипсоиды вращения с осью вращения вдоль диагоналей куста.
На
приходится четыре полных эллипсоида, образующих суммарную поверхность равной энергии, вместо 8 по симметрии
-долины [111] из-за положения
-долины на границе
.
Валентная зона: состоит из трех подзон:
-тяжелых дырок,
-легких дырок
-отщепленной подзоны
и
-вырождена в точке
(стыкуются) поэтому поверхности равной энергии гафрированные.
Законы дисперсии: 
; где
- тяжелые дырки;
-легкие дырки
Подзона
, отщепленная подзона в результате учета спин-орбитального взаимодействия.
, где:
Кремний Структура зон
Зона проводимости: долины
абсолютный минимум энергии X([100]) лежит внутри
(
). Эффективная масса
- тензор (
)
Закон дисперсии- квадратичный анизотропный, поверхности равной энергии- сфероиды (менее вытянуты чем в Ge).
- коэффициент анизотропии зоны проводимости меньше, чем у германия.
Оси вращения сфероидов направлены вдоль главных осей куба.
Валентная зона аналогична Ge, но
в
больше.
Зонная структура п/п соединений: арсенида и фосфида галлия
Арсенид галлия
Зона проводимости: абсолютный минимум энергии лежит в центре зоны Бриллюэна (
-долины), поэтому
=
Эффективная масса электронов
-скаляр
Закон дисперсии:

Поверхности равной энергии- сферы, вблизи 
Минимум энергии- L лежит на границе
(
) с этой долиной связано явление отрицательной дифференциальной проводимости (ОДП).
ОДП возникает в сильных электрических полях в результате междолинного переброса электрона из центральной
-долины, где эффективная масса электронов 
(
-тяжелые электроны L-долины), это приводит к снижению подвижности электронов
и падению проводимости с ростом электрического поля (
ОДП)
В состоянии ОДП Ga As может работать как усилитель и генератор СВЧ- колебаний (эффект Ганна)
три подзоны, величину
превосходит
в Si.
Описание валентной зоны аналогично валентной зоне в элементарном п/п.
Фосфид галлия

Непрямозонный п/п в отличии от GaS.
Долина-L лежит выше
и X-долин (
)
валентная зона- аналог валентной зоны в GaS , разницей 
Дата добавления: 2015-08-26; просмотров: 2943;
