Стационарное уравнение Шредингера.
(ищем решение в таком виде).


Примечание:
только если
.
Обозначим
.


- стационарное уравнение Шредингера.
Оно стационарно, если:
(значок
означает независимость от
).
.
В стационарном случае
,
.
Операторная форма:

- решения.
Пример 1. (свободная частица массой
, движущаяся со скоростью
вдоль оси
).

(свободная частица, нет внешнего силового поля).

(так как движение происходит только вдоль оси
)



.
Общее решение- две плоские волны вдоль
и вдоль
.
В нашем случае

- полная неопределенность координаты и полная ясность с импульсом
.
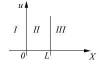
Пример 2.(электрон в потенциальном «ящике» (яме, колодце) ).

, если 
, если 
,
- граничные условия.
Дата добавления: 2015-08-26; просмотров: 856;
