Встановлення втрачених межових знаків на ділянках значної довжини
Так як в даному випадку можливе накопичення похибок при вимірюваннях, встановлення кожної точки виконують окремо.

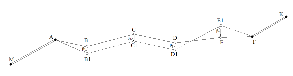
Рисунок 2.11 - Встановлення межових знаків шляхом прокладання допоміжних теодолітних ходів
М, А, F, K – межові знаки, які збереглися;
В, C, D, E – втрачені межові знаки;
В1, С1, D1, E1 – точки допоміжного теодолітного ходу.
Для цього спочатку поблизу межі прокладають допоміжний теодолітний хід, який опирається на межові знаки, які збереглися (рис.2.11), і ув’язують його в системі координат землекористування (ділянки).
Потім обчислюємо румби і довжини ліній ВВ1, СС1, DD1, EE1.
За кутами β1, β2 ,β3, β4 і довжинами ліній ВВ1, СС1, DD1, EE1 встановлюємо втрачені межові знаки.
Дата добавления: 2015-08-26; просмотров: 1231;
