Вставка теодолітного ходу між двома пунктами
Вставка теодолітного ходу полягає в прокладанні розімкнутого теодолітного ходу між двома опорними точками, які не мають орієнтирних напрямків (рис. 2.12).

Рисунок 2.12 - Вставка теодолітного ходу між двома пунктами
10, 18 – опорні точки (які збереглися);
1-7 – точки теодолітного ходу;
8-11 – точки контрольного ходу.
Даний спосіб виключає послідовне встановлення межових знаків (при якому можливе накопичення похибок вимірювань) і забезпечує необхідну точність.
В умовах відсутності значної кількості межових знаків по границі землекористування даний спосіб вважається єдиним.
Виміри на місцевості в цьому випадку відрізняються від звичайних тим, що немає необхідності встановлювати теодоліт на опорні точки (10,18), так як неможливо виміряти примичні кути.
Порядок обробки таких теодолітних ходів:
- дирекційному куту початкової лінії (наприклад,
) задають умовне значення і за виміряними кутами (в точках 1-7) і довжинами сторін обчислюють умовні дирекційні кути і умовні приростки координат
,
всіх сторін ходу;
- за сумами умовних приростків координат
обчислюють умовний дирекційний кут лінії 10-18:
, (2.29)
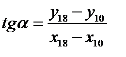
- за координатами опорних точок 10 і 18 (на які опирається теодолітний хід) визначають дійсний дирекційний кут лінії:
, (2.30)
- різниця дирекційних кутів
, (2.31)
є кутом повороту лінії 10-18 в умовній системі координат стосовно дійсної системи координат;
- додавши алгебраїчно кут повороту
до всіх умовних дирекцій них кутів, отримують істинні значення дирекційних кутів ходу;
- після цього обчислюють приростки координат і координати точок теодолітного ходу за загальними правилами обробки розімкнутих теодолітних ходів.
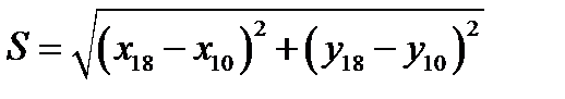
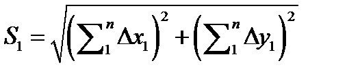
Контроль лінійних вимірювань виконують шляхом порівняння відстаней між опорними пунктами, отриманих за умовними приростами координат і за координатами опорних точок:
, (2.32)
і
. (2.33)
Відносна похибка
не повинна перевищувати
, тобто
. (2.34)
З метою надійного контролю польових вимірів в ходах, їх слід прокладати в вигляді замкнутих полігонів (10-1-2-3-4-5-6-7-18-8-9-10'-11-10) з включенням в них опорних точок. Це дасть змогу проконтролювати величини кутових і лінійних нев’язок.
Дата добавления: 2015-08-26; просмотров: 1274;
