Параллельное включение трансформаторов
Параллельное включение нескольких трансформаторов широко применяется в электрических системах. Во многих случаях только при использовании параллельного включения ряда трансформаторов, каждый из которых принимает на себя известную долю общей нагрузки, могут быть трансформированы те огромные мощности, которые требуется передавать на большие расстояния и многократно преобразовывать в современных энергосистемах. Заменить несколько параллельно включенных трансформаторов крупной подстанции одним трансформатором, рассчитанным на всю передаваемую мощность, нельзя уже потому, что такой трансформатор имел бы слишком большие размеры и встретились бы непреодолимые трудности при его изготовлении на заводе и транспортировке к месту установки.
Однако и на подстанциях меньшей мощности включают несколько трансформаторов параллельно, так как при этом лучше решаются задачи резервирования и расширения подстанции. При выходе из строя одного трансформатора остальные продолжают работать и могут принять на себя увеличенную нагрузку, а неисправный трансформатор может быть заменен резервным, стоимость которого сравнительно невелика по сравнению со стоимостью всех установленных трансформаторов. Кроме того, при достаточно большом количестве установленных на подстанции трансформаторов всегда может быть включено на параллельную работу такое их число, при котором каждый из них несёт оптимальную нагрузку и преобразует энергию с минимальными потерями.
Выбор количества параллельно включенных трансформаторов подстанции представляет собой оптимизационную технико-экономическую задачу, в которой оптимизируются суммарные затраты на эксплуатацию и изготовление установленных трансформаторов. При этом нужно учитывать, что стоимость потерь энергии и стоимость изготовления трансформаторов уменьшаются с ростом мощности трансформаторов в единице, а стоимость резервирования, наоборот, возрастает.
Условия включения трансформаторов на параллельную работу. Для исключения ошибок при включении условились соединять между собой электрически одинаково обозначенные выводы трансформаторов, работающих параллельно. Схема параллельного включения двух однофазных трансформаторов α и β показана на рис. 5.5. Как видно, одноименные выводы трансформаторов α и β (Aα, Aβ; Xα,Xβ;aα, aβ;xα, xβ) присоединяются соответственно к одной и той же шине.

Рис. 5.5. . Схема параллельного включения однофазных двухобмоточных трансформаторов, имеющих группу соединения1/1/0
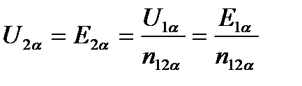
Сформулируем условия, при которых допустимо параллельное включение трансформаторов на холостом ходу при отсоединённой нагрузке Z (разомкнутом выключателе К2). Очевидно, выводы первичных обмоток трансформаторов Aα, Aβ; Xα, Xβ могут быть присоединены указанным образом к первичной сети без соблюдения каких-либо дополнительных условий. После включения первичных обмоток на напряжение U1=Ulα=Uβ между разъединёнными выводами вторичных обмоток аαхα и аβ хβ будут действовать соответственно напряжения

и
.
Выводы хα и хβ вторичных обмоток трансформаторов могут быть объединены безболезненно. Но на ключе К1, с помощью которого объединяются зажимы аα и аβ, может появиться ЭДС
.
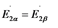
Объединение выводов аα и аβ не будет сопровождаться появлением уравнительных токов в обмотках только при

т.е. при одинаковых вторичных ЭДС
.
Для этого необходимо соблюдение следующих условий:
1.Включаемые параллельно трансформаторы должны иметь одинаковые коэффициенты трансформации. При n12α=n12β и U1α=U1β вторичные ЭДС одинаковы E2α=E2β.
2.Включаемые параллельно трансформаторы должны иметь одинаковые группы соединения. При одинаковых номерах групп соединения Nα=Nβ=N ЭДС E2α и E2β повёрнуты на одинаковый угол θN относительно не отличающихся друг от друга первичных ЭДС E1α=E1β=-U1 и, следовательно, совпадают по фазе:
.
Эти условия распространяются и на трехфазные трансформаторы, при параллельном включении которых также объединяются одинаково обозначенные линейные и нулевые выводы. При этом при выполнении условий включения получаются одинаковые по значению и по фазе вторичные линейные ЭДС.
Третьим дополнительным условием является требование, чтобы параллельно включаемые трансформаторы имели одинаковые относительные напряжения короткого замыкания (на практике допускается различие в напряжении короткого замыкания до 10%). Если это условие не будет выполняться, то трансформаторы будут не равномерно загружаться током нагрузки. В цепи трансформатора с большим uk будет протекать меньшая доля тока нагрузки, и он будет недогружен, а в цепи трансформатора с меньшим uk будет протекать большая доля тока нагрузки, и он будет перегружен
Дата добавления: 2016-04-14; просмотров: 624;
