МЕТОД ПРОПОРЦИОНАЛЬНЫХ ВЕЛИЧИН
В чистом виде метод применим для расчёта цепей, состоящих только из последовательных и параллельных соединений резисторов и наличии в схеме одного источника.
Согласно методу пропорциональных величин, в самой удаленной от источников ЭДС ветви схемы произвольно задаёмся некоторым током, например 1А.
Далее продвигаемся от конца схемы к началу и находим токи в ветвях и напряжения на различных участках схемы. В результате расчета получаем значение напряжения в начале схемы и значения токов в ветвях, если бы в самом удаленной ветви протекал ток 1А.
Так как найденное значение напряжения в начале схемы в общем случае не будет равняться ЭДС источника, то следует во всех ветвях изменить токи, умножив их на коэффициент, равный отношению ЭДС источника к найденному значению напряжения в начале схемы.
Рассмотрим пример (рис. 1-18):

E = 100 В;
R1 = 3 Ом;
R2 = 13 Ом;
R3 = 3 Ом;
R4 = 2 Ом;
R5 = 4 Ом.
Рис. 1-18. Электрическая схема
Зададимся током 1А в резисторе R5: I5 = 1А.
Напряжение Ucd = R5*I5 = 1*4 = 4 В; Ток I4 =
= 2А;
I3 = I4 + I5 = 2+1 = 3А;
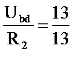
Напряжение Ubd = Ucd + R3I3 = 4+3*3 = 13В; Ток I2 =
= 1А;
I1 = I2 + I3 = 1+3 = 4А.
Напряжение Uad = Ubd + R1I1 = 13+4*3 = 25В.
Так как ЭДС Е = 100В, то все токи надо умножить на коэффициент К:
К =
= 4.
Таким образом, токи в исходной схеме буду равны:
I1 = 16 А; I2 = 4 А; I3 = 12 А; I4 = 8 А; I5 = 4 А.
Дата добавления: 2016-03-15; просмотров: 4627;
