Спонтанные и вынужденные переходы. Коэффициенты Эйнштейна.
Правила отбора
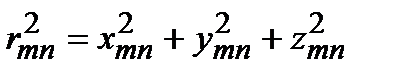
Возбужденный атом по истечении некоторого времени освобождается от излишка энергии с помощью испускания фотона. Это излучательные переходы. Существуют также безызлучательные переходы. Излучение отдельным возбужденным атомом происходит независимо от других атомов в разные моменты времени. Поэтому можно говорить о среднем времени жизниатома в возбужденном состоянии. Переходы возбужденных атомов с излучением происходят «сами собой». Это спонтанные, или самопроизвольные переходы. Излучение атомов при спонтанных переходах является некогерентным. Характерное время жизни атома в возбужденном состоянии
с. В атомных масштабах это довольно большое время. Оно на много порядков больше периода колебаний излучения атома. Например, в оптическом диапазоне частота излучения
Гц (период –
с). Поэтому возбужденные состояния можно рассматривать как стационарные.
Существуют также вынужденные переходы, которые происходят под действием внешнего поля. В этом случае атомы поглощаютэнергию поля, переходя в возбужденное состояние, или вынужденно излучают, переходя в состояние с меньшей энергией. Если точно известно, что в начальный момент времени атом находится в некотором состоянии с энергией
, то вероятность этого события равна 1, т.е. величина
. Под влиянием внешнего поля атом совершит переход в другое состояние с энергией
. Вероятность того, что в момент времени t атом будет находиться в этом состоянии, определяется величиной
, которая таким образом характеризует вероятность перехода из состояния n в состояние m. С такими вероятностями связаны коэффициенты Эйнштейна, играющие важную роль в теории излучения. Последовательное вычисление вероятностей перехода (и коэффициентов Эйнштейна) проводится с помощью решения уравнения Шредингера по теории возмущений. Ограничимся нестрогим подходом.
Рассмотрим два состояния атома с энергиями
и
(при
) (рис.2.27). Вводится вероятность спонтанного перехода в единицу времени
из состояния
в состояние
. Величина
имеет смысл среднего числа актов излучения в единицу времени, приходящихся на один атом. Допустим, что в момент времени
в состоянии
находится
атомов, образующих разреженный газ. За время 
Рис.2.27 произойдет
переходов в состояние
. Величина 
определяет уменьшение числа атомов, находившихся в момент времени
в состоянии
:
. Решение этого уравнения:
. (2.76)
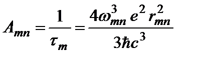
Величину
есть мера вероятности спонтанного перехода атомов за время dt. Среднее время такого перехода (среднее время жизни атома в возбужденном состоянии m):
.(2.77)
Таким образом,
. Интенсивность излучения согласно (2.76) уменьшается со временем по закону:
. (2.77а)
Если атом, находящийся в состоянии
, помещен во внешнее электромагнитное поле с частотой
, то он поглощает энергию поля при совпадении этой частоты с частотой
и переходит в возбужденное состояние
. Пусть
– спектральная плотность энергии электромагнитного излучения. Вводят величину
. (2.78)
Это - вероятность поглощения излучения атомом в единицу времени.
Наряду с процессом поглощения, в результате которого происходит переход
, существует обратный процесс – вынужденное, стимулированное,или индуцированное испусканиепри переходе
под воздействием внешнего электромагнитного поля, частота которого равна частоте перехода. Такой процесс характеризуется величиной
. (2.78а)
Это - вероятность индуцированного излучения в единицу времени.
- коэффициенты Эйнштейна. Коэффициенты Эйнштейна связаны соотношениями:
, (2.79)
. (2.79а)
Коэффициент
(или
) - статистический вес, или кратность вырождения
-го (или
-го) состояния.
Вычисление вероятностей перехода (коэффициентов Эйнштейна) проводится последовательно по правилам квантовой механики. Однако окончательные результаты можно получить с помощью простых полуклассических рассуждений. Электроны и положительное ядро представляют собой электрически нейтральную систему зарядов. Согласно классической электродинамике поле ограниченной электрически нейтральной системы движущихся зарядов можно представить в виде суммы полей мультиполей:– поле электрического диполя, поле электрического квадруполя и магнитного диполя и т.д. Разложение поля излучающей системы зарядов по мультиполям возможно, если линейный размер этой системы
мал по сравнению с длиной волны излучения
:
. (2.80)
Поля электрического квадруполя и магнитного диполя в
раз меньше поля электрического диполя. В случае излучающего атома величина
определяется размерами атома:
см. В оптическом диапазоне длина волны
см. Таким образом, для оптического диапазона
. Основной тип излучения возбужденного атома - электрическое дипольное излучение. Мощность излучения электрического диполя (энергия, излучаемая диполем в единицу времени), колеблющегося с частотой
, описывается формулой:
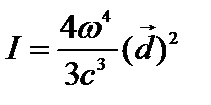
, (2.81)
где
– электрический дипольный момент. При спонтанном переходе за среднее время жизни атома
высвечивается фотон с энергией
. Следовательно, мощность излучения равна:
. (2.81а)
Из сравнения (2.81) и (2.81а):
. (2.82)
К такому же результату можно прийти с помощью строгого квантово–механического расчета. При этом под
надо понимать
, а под
– матричный элемент дипольного момента:
,
где
– единичные векторы декартовой системы координат. Таким образом, вероятность спонтанного излучения в единицу времени:
. (2.83)
Здесь
. (2.83а)
Матричный элемент
- среднее значение величины x при переходе из состояния
в состояние
:
, (2.84)
где
– собственные волновые функции атома в стационарных состояниях
. Если
, то
- среднее значение величины
(аналогично для переменных
) в собственном состоянии
.
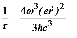
Оценим среднюю величину дипольного момента в случае оптического излучения (
с, частота
Гц). Тогда
СГС. Если такой же порядок (или меньше) дипольного момента сохраняется и в радиочастотном диапазоне (
Гц), то среднее время жизни атома оказывается очень большим:
с, а вероятность спонтанного перехода
c-1. Это значит, что в радиочастотном диапазоне спонтанное излучение не имеет большого значения.
Согласно (2.83) вероятности излучательных переходов определяются значениями матричных элементов. Если эти элементы равны нулю, то равна нулю вероятность переходов - такие переходы не осуществляются. Они называются запрещенными.Матричные элементы отличны от нуля лишь при определенных ограничениях на изменение квантовых чисел при переходах из одного состояния в другое. Эти ограничения называют правилами отбора. Матричные элементы дипольных переходов вычисляются по формуле (2.84), если известны собственные волновые функции. Для линейного гармонического осциллятора собственные функции описываются формулой (2.44). Вычисления приводят к следующему результату: квантовое число
, определяющее состояния осциллятора, при переходах может изменяться лишь на ±1:
. (2.85)
По формуле (2.43) частота перехода равна частоте классического осциллятора:
, (2.85а)
Для ротаторасобственные функции определяются формулой (2.57). Состояния квантового ротатора описываются квантовыми числами
. При переходах из состояния
в состояние
правила отбора: для изменения орбитального квантового числа:
, (2.86)
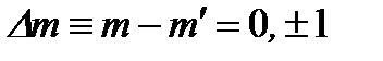
для изменения магнитного квантового числа:
. (2.87)
Эти правила определяют также поляризацию излучения.
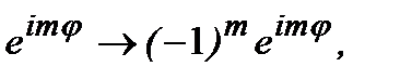
Возможные изменения состояний ротатора связаны с законом сохранения четности. Инверсии
в сферической системе координат (
) соответствует преобразование:
. (2.89)
При таком преобразовании в волновых функциях состояний ротатора (2.57) происходят изменения:
. Согласно (2.56а):
, так что
. Таким образом, волновая функция при инверсии преобразуется по закону:
.
Отсюда следует, что четность состояний ротатора определяется значением орбитального квантового числа
. Если
– четное число, то состояние четно. Если
– нечетное число, то состояние – нечетно.
Матричные элементы определяются интегралами вида
в симметричных пределах от
до
. Интеграл отличен от нуля, если функция
– четная. Если она нечетная, то интеграл обращается в нуль. При дипольных переходах матричные элементы вычисляются по формуле (2.84). Подынтегральная функция
должна быть четной. Величина x меняет свой знак при инверсии. Произведение
также должно быть нечетной функцией. Таким образом, возможны переходы
лишь между состояниями с различной четностью.Это – правило Лапорта. Так как четность определяется значениями орбитального квантового числа, то отсюда следует правило (2.86). Дипольные переходы при
или
являются запрещенными.
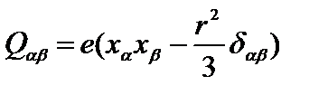
Вероятность квадрупольных переходов определяется матричными элементами:
, (2.90)
где
– квадрупольный электрический момент - четная функция координат. В этом случае осуществляются переходы между состояниями с одинаковой четностью. Правило отбора при квадрупольных переходах:
. При этом переходы с
запрещены.
Указанные правила отбора не всегда строго выполняются: наблюдаются спектральные линии, связанные с запрещенными переходами.
Дата добавления: 2015-11-26; просмотров: 3646;
